Online Database of Chemicals from Around the World
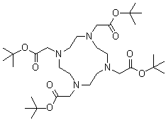
1,4,7,10-Tetraazacyclododecane-1,4,7,10-tetraacetic acid tetrakis(1,1-dimethylethyl) ester
[CAS 585531-74-4]
Identification| Name | 1,4,7,10-Tetraazacyclododecane-1,4,7,10-tetraacetic acid tetrakis(1,1-dimethylethyl) ester |
|---|
|
| Molecular Structure |  |
| Molecular Formula | C32H60N4O8 |
| Molecular Weight | 628.84 |
| CAS Registry Number | 585531-74-4 |
|
Properties
| Solubility | Very soluble (1000 g/L) (25 °C), Calc.* |
| Density | 1.038±0.06 g/cm3 (20 °C 760 Torr), Calc.* |
|
| * | Calculated using Advanced Chemistry Development (ACD/Labs) Software V11.02 (©1994-2015 ACD/Labs) |
|
Related Products
Tetraanthraporp... tetraaqua(5'-gu... Tetraarsenic Te... Tetraarsenic Tr... Tetraarsenic Tr... Tetraaza-12-Cro... 3H-1,3,6,8A-Tet... 1-(1,3,5,7-Tetr... 1,4,7,10-Tetraa... 1,4,7,10-Tetraa... 1,4,7,10-Tetraa... 1,4,7,10-Tetraa... 2,2',2'',2'''-(... 1,4,7,10-Tetraa... 1,4,7,10-Tetraa... 1,4,7,10-Tetraa... 3-(1,4,7,10-Tet... 5H-2,3,4A,7A-Te... 1H-1,3,5,7-Tetr... 1,4,8,12-Tetraa...