Online Database of Chemicals from Around the World

(3alpha,5beta,7alpha,8xi)-7,24-Dihydroxy-24-oxocholan-3-yl beta-D-glucopyranosiduronic acid
[CAS 58814-71-4]

Suppliers
CAS#: 58814-71-4
Product: (3alpha,5beta,7alpha,8xi)-7,24-Dihydroxy-24-oxocholan-3-yl beta-D-glucopyranosiduronic acid
No suppilers available for the product.
Identification
Name (3alpha,5beta,7alpha,8xi)-7,24-Dihydroxy-24-oxocholan-3-yl beta-D-glucopyranosiduronic acid
Synonyms (3a,5b,7a)-23-carboxy-7-hydroxy-24-norcholan-3-yl, b-D-Glucopyranosiduronic acid
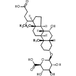
Molecular Structure CAS#: 58814-71-4, (3alpha,5beta,7alpha,8xi)-7,24-Dihydroxy-24-oxocholan-3-yl beta-D-glucopyranosiduronic acid
Molecular Formula C30H48O10
Molecular Weight 568.70
CAS Registry Number 58814-71-4
SMILES OC(=O)CC[C@@H](C)[C@H]5CC[C@@H]4[C@]5(C)CC[C@H]2[C@H]4[C@H](O)C[C@@H]3C[C@H](O[C@@H]1O[C@@H]([C@@H](O)[C@H](O)[C@H]1O)C(O)=O)CC[C@]23C
InChI 1S/C30H48O10/c1-14(4-7-21(32)33)17-5-6-18-22-19(9-11-30(17,18)3)29(2)10-8-16(12-15(29)13-20(22)31)39-28-25(36)23(34)24(35)26(40-28)27(37)38/h14-20,22-26,28,31,34-36H,4-13H2,1-3H3,(H,32,33)(H,37,38)/t14-,15+,16-,17-,18+,19+,20-,22+,23+,24+,25-,26+,28-,29+,30-/m1/s1
InChIKey GDNGOAUIUTXUES-BWGRGVIUSA-N
Properties
Density 1.344g/cm3 (Cal.)
Boiling point 760.291°C at 760 mmHg (Cal.)
Flash point 242.897°C (Cal.)
Market Analysis Reports
Related Products
3beta,14-Dihydr...  3beta,14-Dihydr...  (5beta)-12,beta...  (3a,5b,7a)-3,7-...  (3alpha,5beta,1...  3,12-Dihydroxy-...  4-{[(3alpha,5be...  2-{[(5beta,7alp...  2-[[(3alpha,5be...  3-[(3-{[(5beta,...  (3alpha,5beta,1...  N-((3alpha,5bet...  N-[(3a,5b,7b)-3...  1-O-(3,7-Dihydr...  N-[(3alpha,5bet...  N-[(3alpha,5bet...  N-[(3alpha,5bet...  (3alpha,5beta,7...  N-[(3alpha,5bet...  (7alpha,12alpha...