Online Database of Chemicals from Around the World

Methyl (2-{4-[2-Hydroxy-3-(Isopropylamino)Propoxy]Phenyl}Ethyl)Carbamate Sulfate (2:1)
[CAS 59954-01-7]

Suppliers
CAS#: 59954-01-7
Product: Methyl (2-{4-[2-Hydroxy-3-(Isopropylamino)Propoxy]Phenyl}Ethyl)Carbamate Sulfate (2:1)
No suppilers available for the product.
Identification
Name Methyl (2-{4-[2-Hydroxy-3-(Isopropylamino)Propoxy]Phenyl}Ethyl)Carbamate Sulfate (2:1)
Synonyms (±)-[2-[4-[2-Hydroxy-3-[(1-methylethyl)amino]propoxy]phenyl]ethyl]carbamic Acid Methyl Ester Sulfate (Salt) (2:1); H 104/08; H-104/08
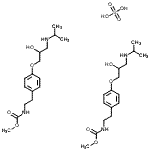
Molecular Structure CAS#: 59954-01-7, Methyl (2-{4-[2-Hydroxy-3-(Isopropylamino)Propoxy]Phenyl}Ethyl)Carbamate Sulfate (2:1)
Molecular Formula C32H54N4O12S
Molecular Weight 718.86
CAS Registry Number 59954-01-7
SMILES O=S(=O)(O)O.O=C(OC)NCCc1ccc(OCC(O)CNC(C)C)cc1.O=C(OC)NCCc1ccc(OCC(O)CNC(C)C)cc1
InChI 1S/2C16H26N2O4.H2O4S/c2*1-12(2)18-10-14(19)11-22-15-6-4-13(5-7-15)8-9-17-16(20)21-3;1-5(2,3)4/h2*4-7,12,14,18-19H,8-11H2,1-3H3,(H,17,20);(H2,1,2,3,4)
InChIKey OUXGIOLQOYAZLS-UHFFFAOYSA-N
Properties
Boiling point 487°C at 760 mmHg (Cal.)
Flash point 248.3°C (Cal.)
Market Analysis Reports
Related Products
Methyl 3-hydrox...  Methyl (1R,2R,5...  Methyl (1S,2S,5...  Methyl (1S,2R,3...  Methyl (1R,2S,5...  Methyl 4-Hydrox...  Methyl 3-Hydrox...  Methyl 2-Hydrox...  Methyl (2S)-3-H...  Methyl (2S)-3-H...  3-Methyl-7-hydr...  Methyl N-Hydrox...  Methyl (3R)-3-h...  Methyl 3-hydrox...  Methyl 7alpha-H...  Methyl 7beta-Hy...  N-Methylhydroxy...  O-Methylhydroxy...  N-Methylhydroxy...  4-(O-Methylhydr...