Online Database of Chemicals from Around the World

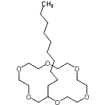
2-Decyl-1,4,7,10,13,16-Hexaoxacyclooctadecane
[CAS 60742-60-1]

Suppliers
Merck Millipore USA
+86 (10) 5989-8600
asiatechserv@millipore.com
Chemical manufacturer since 1954
Identification
Name 2-Decyl-1,4,7,10,13,16-Hexaoxacyclooctadecane
Synonyms 2-DECYL-1,4,7,10,13,16-HEXAOXACYCLO-OCTADECANE; Decyl-18-crown-6-ether
Molecular Structure CAS#: 60742-60-1, 2-Decyl-1,4,7,10,13,16-Hexaoxacyclooctadecane
Molecular Formula C22H44O6
Molecular Weight 404.58
CAS Registry Number 60742-60-1
SMILES O1CCOCCOCCOCC(OCCOCC1)CCCCCCCCCC
InChI 1S/C22H44O6/c1-2-3-4-5-6-7-8-9-10-22-21-27-18-17-25-14-13-23-11-12-24-15-16-26-19-20-28-22/h22H,2-21H2,1H3
InChIKey YYGGFNZADNMHNJ-UHFFFAOYSA-N
Properties
Density 0.93g/cm3 (Cal.)
20 (Expl.)
Boiling point 514.03°C at 760 mmHg (Cal.)
Flash point 197.952°C (Cal.)
Market Analysis Reports
Related Products
Decyl-D-Glucosi...  Decylguanidine ...  11-Decyl-Heneic...  Decyl Heptafluo...  Decyl Heptanoat...  Decyl 2-(1-Hept...  2-Decylhexadeca...  1-Decylhexadeca...  4-Decyl-1,2,3,6...  Decyl Hexanoate...  Decyl Hexyl Adi...  Decyl Hexyl Pht...  O-Decyl Hydroge...  Decyl Hydrogen ...  Decyl Hydrogen ...  Decyl Hydrogen ...  Decyl Hydrogen ...  Decyl Hydrogen ...  Decyl Hydrogen ...  3-Decyl-2-hydro...