Online Database of Chemicals from Around the World

Cinodine I
[CAS 60830-76-4]

Suppliers
CAS#: 60830-76-4
Product: Cinodine I
No suppilers available for the product.
Identification
Name Cinodine I
Synonyms (Z)-N-[3-(4-Aminobutylamino)Propyl]-3-[4-[3-Guanidino-4-Hydroxy-5-[[4-Hydroxy-5-[(2-Oxo-7-Ureido-1,3A,4,6,7,7A-Hexahydropyrano[4,5-D]Oxazol-6-Yl)Oxy]-3-Ureido-Tetrahydropyran-2-Yl]Carbamoylamino]-6-Methyl-Tetrahydropyran-2-Yl]Oxyphenyl]Prop-2-Enamide; (Z)-N-[3-(4-Aminobutylamino)Propyl]-3-[4-[[3-Guanidino-4-Hydroxy-5-[[[[4-Hydroxy-5-[(2-Oxo-7-Ureido-1,3A,4,6,7,7A-Hexahydropyrano[4,5-D]Oxazol-6-Yl)Oxy]-3-Ureido-2-Tetrahydropyranyl]Amino]-Oxomethyl]Amino]-6-Methyl-2-Tetrahydropyranyl]Oxy]Phenyl]Prop-2-Enamide; (Z)-N-[3-(4-Aminobutylamino)Propyl]-3-[4-[3-Guanidino-4-Hydroxy-5-[[4-Hydroxy-5-[(2-Keto-7-Ureido-1,3A,4,6,7,7A-Hexahydropyrano[4,5-D]Oxazol-6-Yl)Oxy]-3-Ureido-Tetrahydropyran-2-Yl]Carbamoylamino]-6-Methyl-Tetrahydropyran-2-Yl]Oxyphenyl]Acrylamide
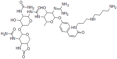
Molecular Structure CAS#: 60830-76-4, Cinodine I
Molecular Formula C37H59N13O13
Molecular Weight 893.95
CAS Registry Number 60830-76-4
SMILES C5=C(OC4OC(C(NC(=O)NC3OCC(OC2OCC1OC(=O)NC1C2NC(=O)N)C(O)C3NC(=O)N)C(O)C4N=C(N)N)C)C=CC(=C5)\C=C/C(=O)NCCCNCCCCN
InChI 1S/C37H59N13O13/c1-17-23(29(53)27(45-33(39)40)32(60-17)61-19-8-5-18(6-9-19)7-10-22(51)44-14-4-13-43-12-3-2-11-38)48-36(56)50-30-26(47-35(42)55)28(52)21(16-58-30)62-31-25(46-34(41)54)24-20(15-59-31)63-37(57)49-24/h5-10,17,20-21,23-32,43,52-53H,2-4,11-16,38H2,1H3,(H,44,51)(H,49,57)(H4,39,40,45)(H3,41,46,54)(H3,42,47,55)(H2,48,50,56)/b10-7-
InChIKey JFKMOESWBQOEER-YFHOEESVSA-N
Properties
Density 1.707g/cm3 (Cal.)
Market Analysis Reports
Related Products
N-(3-Cinnolinyl...  Cinnolin-4-ylam...  Cinnoxicam;Piro...  Cinnzeylanol  Cinobufagin;5b,...  Cinobufaginol;(...  Cinobufotalin;1...  Cinobufotenine;...  Cinobufotoxin;B...  Cinodine;(E)-3-...  Cinodine II;(E)...  Cinolazepam;3-[...  Cinoquidox;N-(2...  Cinosulfuron;3-...  Cinoxacin;1-Eth...  Cinoxate;(E)-3-...  Cinoxolone;[(E)...  Cinoxopazide;Ci...  Cinperene;3-Phe...  Cinprazole;1-Ph...