Online Database of Chemicals from Around the World

2',5'-Oligoadenylate
[CAS 61172-40-5]

Suppliers
CAS#: 61172-40-5
Product: 2',5'-Oligoadenylate
No suppilers available for the product.
Identification
Name 2',5'-Oligoadenylate
Synonyms [(2R,3R,4R,5R)-5-(6-Aminopurin-9-Yl)-4-[[(3S,4R)-5-(6-Aminopurin-9-Yl)-3,4-Dihydroxy-Tetrahydrofuran-2-Yl]Methoxy-Hydroxy-Phosphoryl]Oxy-3-Hydroxy-Tetrahydrofuran-2-Yl]Methyl [(2R,4R,5R)-2-(6-Aminopurin-9-Yl)-4-Hydroxy-5-(Phosphonooxymethyl)Tetrahydrofuran-3-Yl] Hydrogen Phosphate; [(2R,3R,4R,5R)-5-(6-Amino-9-Purinyl)-4-[[(3S,4R)-5-(6-Amino-9-Purinyl)-3,4-Dihydroxy-2-Tetrahydrofuranyl]Methoxy-Hydroxyphosphoryl]Oxy-3-Hydroxy-2-Tetrahydrofuranyl]Methyl [(2R,4R,5R)-2-(6-Amino-9-Purinyl)-4-Hydroxy-5-(Phosphonooxymethyl)-3-Tetrahydrofuranyl] Hydrogen Phosphate; [(2R,3R,4R,5R)-5-(6-Aminopurin-9-Yl)-4-[[(3S,4R)-5-(6-Aminopurin-9-Yl)-3,4-Dihydroxy-Oxolan-2-Yl]Methoxy-Hydroxy-Phosphoryl]Oxy-3-Hydroxy-Oxolan-2-Yl]Methyl [(2R,4R,5R)-2-(6-Aminopurin-9-Yl)-4-Hydroxy-5-(Phosphonooxymethyl)Oxolan-3-Yl] Hydrogen Phosphate
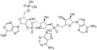
Molecular Structure CAS#: 61172-40-5, 2',5'-Oligoadenylate
Molecular Formula C30H38N15O19P3
Molecular Weight 1005.64
CAS Registry Number 61172-40-5
SMILES [N]8(C1OC([C@@H](O)[C@H]1O)CO[P](O[C@H]2[C@@H](O[C@@H]([C@H]2O)CO[P](OC3[C@@H](O[C@@H]([C@H]3O)CO[P](=O)(O)O)[N]4C5=C(N=C4)C(=NC=N5)N)(=O)O)[N]6C7=C(N=C6)C(=NC=N7)N)(=O)O)C9=C(N=C8)C(=NC=N9)N
InChI 1S/C30H38N15O19P3/c31-22-13-25(37-4-34-22)43(7-40-13)28-19(49)16(46)10(60-28)2-58-66(53,54)64-21-18(48)12(62-30(21)45-9-42-15-24(33)36-6-39-27(15)45)3-59-67(55,56)63-20-17(47)11(1-57-65(50,51)52)61-29(20)44-8-41-14-23(32)35-5-38-26(14)44/h4-12,16-21,28-30,46-49H,1-3H2,(H,53,54)(H,55,56)(H2,31,34,37)(H2,32,35,38)(H2,33,36,39)(H2,50,51,52)/t10?,11-,12-,16-,17-,18-,19-,20?,21-,28?,29-,30-/m1/s1
InChIKey SIIZPVYVXNXXQG-KGXOGWRBSA-N
Properties
Density 2.487g/cm3 (Cal.)
Market Analysis Reports
Related Products
Oleyl Octanoate...  Oleyloxyethyl P...  Oleyl Palmitate...  Oleyl Phosphate...  N-Oleylstearami...  Oleyl Stearate;...  N-Oleyltrimethy...  Olibanum Gum  Olibanum Oil  Oliceridine;(9R...  2',5'-Oligoaden...  Oligo(2-(2-ethy...  Oligo[2-hydroxy...  Oligomycin  Oligomycin A;MC...  Oligomycin B  (-)-Oligomycin ...  Oligophosphogly...  GM1-Oligosaccha...  Oligostatin D;(...