Online Database of Chemicals from Around the World

16-Hydroxy-19-(1-Hydroxyethyl)-6,15,27-Trimethyl-12H,24H-Spiro[2,5,11,14,18,25-Hexaoxahexacyclo[24.2.1.03,9.04,6.09,27.013,15]Nonacosa-20,22-Diene-28,2'-Oxirane]-12,24-Dione
[CAS 61251-97-6]

Suppliers
CAS#: 61251-97-6
Product: 16-Hydroxy-19-(1-Hydroxyethyl)-6,15,27-Trimethyl-12H,24H-Spiro[2,5,11,14,18,25-Hexaoxahexacyclo[24.2.1.03,9.04,6.09,27.013,15]Nonacosa-20,22-Diene-28,2'-Oxirane]-12,24-Dione
No suppilers available for the product.
Identification
Name 16-Hydroxy-19-(1-Hydroxyethyl)-6,15,27-Trimethyl-12H,24H-Spiro[2,5,11,14,18,25-Hexaoxahexacyclo[24.2.1.03,9.04,6.09,27.013,15]Nonacosa-20,22-Diene-28,2'-Oxirane]-12,24-Dione
Synonyms B800157K386; Verrucarin A, 7'-deoxo-2'-deoxy-2',3':9, 10-diepoxy-9,10-dihydro-4'-hydroxy-7'- (1-hydroxyethyl); Verrucarin A, 7'-deoxo-2'-deoxy-2',3':9,10-diepoxy-9, 10-dihydro-4'-hydroxy-7'-(1-hydroxyethyl)-
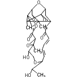
Molecular Structure CAS#: 61251-97-6, 16-Hydroxy-19-(1-Hydroxyethyl)-6,15,27-Trimethyl-12H,24H-Spiro[2,5,11,14,18,25-Hexaoxahexacyclo[24.2.1.0<Sup>3,9</Sup>.0<Sup>4,6</Sup>.0<Sup>9,27</Sup>.0<Sup>13,15</Sup>]Nonacosa-20,22-Diene-28,2'-Oxirane]-12,24-Dione
Molecular Formula C29H38O11
Molecular Weight 562.61
CAS Registry Number 61251-97-6
SMILES O=C/6OC5CC4OC2C1OC1(C)CCC2(C5(C)C34OC3)COC(=O)C7OC7(C)C(O)COC(\C=C\C=C\6)C(O)C
InChI 1S/C29H38O11/c1-15(30)16-7-5-6-8-20(32)37-18-11-19-29(14-36-29)27(18,4)28(10-9-25(2)21(39-25)22(28)38-19)13-35-24(33)23-26(3,40-23)17(31)12-34-16/h5-8,15-19,21-23,30-31H,9-14H2,1-4H3/b7-5-,8-6-
InChIKey DGBITFNXKQHKLI-SFECMWDFSA-N
Properties
Density 1.424g/cm3 (Cal.)
Boiling point 799.088°C at 760 mmHg (Cal.)
Flash point 263.755°C (Cal.)
Market Analysis Reports
Related Products
1-[2-[4-Hydroxy...  1-[2-Hydroxy-5-...  1-Hydroxy-N-(2-...  3-[2-Hydroxy-3-...  7-[2-Hydroxy-3-...  1-[2-Hydroxy-3-...  (4R)-4-Hydroxy-...  (2S,6R)-6-Hydro...  9-[2-Hydroxy-3-...  (1R,2R)-2-Hydro...  16-Hydroxy-19-(...  N-Hydroxy-N-(7-...  (2R,3R,4R)-4-Hy...  (E)-4-[2-Hydrox...  (4Z,6Z,8E)-3-Hy...  9-[5-O-[Hydroxy...  5'-O-[Hydroxy[[...  9-[5-O-[Hydroxy...  [4-Hydroxy-5-[[...  (2S,3R,4S)-3-Hy...