Online Database of Chemicals from Around the World

2-Butynoyl-Coenzyme A
[CAS 6244-99-1]

Suppliers
CAS#: 6244-99-1
Product: 2-Butynoyl-Coenzyme A
No suppilers available for the product.
Identification
Name 2-Butynoyl-Coenzyme A
Synonyms S-[2-[3-[[(2R)-4-[[[(2R,3S,4R,5R)-5-(6-Aminopurin-9-Yl)-4-Hydroxy-3-Phosphonooxy-Tetrahydrofuran-2-Yl]Methoxy-Hydroxy-Phosphoryl]Oxy-Hydroxy-Phosphoryl]Oxy-2-Hydroxy-3,3-Dimethyl-Butanoyl]Amino]Propanoylamino]Ethyl] But-2-Ynethioate; But-2-Ynethioic Acid S-[2-[[3-[[(2R)-4-[[[(2R,3S,4R,5R)-5-(6-Amino-9-Purinyl)-4-Hydroxy-3-Phosphonooxy-2-Tetrahydrofuranyl]Methoxy-Hydroxyphosphoryl]Oxy-Hydroxyphosphoryl]Oxy-2-Hydroxy-3,3-Dimethyl-1-Oxobutyl]Amino]-1-Oxopropyl]Amino]Ethyl] Ester; But-2-Ynethioic Acid S-[2-[3-[[(2R)-4-[[[(2R,3S,4R,5R)-5-(6-Aminopurin-9-Yl)-4-Hydroxy-3-Phosphonooxy-Tetrahydrofuran-2-Yl]Methoxy-Hydroxy-Phosphoryl]Oxy-Hydroxy-Phosphoryl]Oxy-2-Hydroxy-3,3-Dimethyl-Butanoyl]Amino]Propanoylamino]Ethyl] Ester
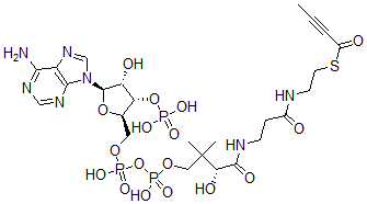
Molecular Structure CAS#: 6244-99-1, 2-Butynoyl-Coenzyme A
Molecular Formula C25H38N7O17P3S
Molecular Weight 833.59
CAS Registry Number 6244-99-1
SMILES [C@H]1(O[C@@H]([C@@H](O[P](=O)(O)O)[C@H]1O)CO[P](O[P](OCC([C@@H](O)C(=O)NCCC(=O)NCCSC(=O)C#CC)(C)C)(=O)O)(=O)O)[N]2C3=C(N=C2)C(=NC=N3)N
InChI 1S/C25H38N7O17P3S/c1-4-5-16(34)53-9-8-27-15(33)6-7-28-23(37)20(36)25(2,3)11-46-52(43,44)49-51(41,42)45-10-14-19(48-50(38,39)40)18(35)24(47-14)32-13-31-17-21(26)29-12-30-22(17)32/h12-14,18-20,24,35-36H,6-11H2,1-3H3,(H,27,33)(H,28,37)(H,41,42)(H,43,44)(H2,26,29,30)(H2,38,39,40)/t14-,18-,19-,20+,24-/m1/s1
InChIKey JVJMBGZQTGXPSX-CITAKDKDSA-N
Market Analysis Reports
Related Products
2-Butynoic acid...  3-Butyn-2-ol  (S)-(-)-3-Butyn...  (R)-(+)-3-Butyn...  3-Butyn-2-Ol;19...  2-Butyn-1-ol  3-Butyn-1-ol  2-Butyn-1-Ol, 4...  3-Butyn-2-one  N-(2-Butynoyl)b...  (3R)-3-(3-Butyn...  3-Butynoylpante...  2-Butynyl Aceta...  But-3-ynyl Acet...  3-Butyn-2-Yl 2-...  2-Butyn-1-yl 2-...  3-Butyn-2-yl 4-...  3-(3-Butynyl)-3...  2-(3-Butynylami...  2-(But-3-Yn-2-Y...