|
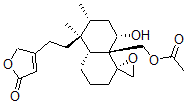
CAS#: 62640-06-6 Product: 4-[2-[(1R)-8aalpha-Acetoxymethyl-3,4,4abeta,5,6,7,8,8alpha-Octahydro-8alpha-Hydroxy-5alpha,6alpha-Dimethylspiro[Naphthalene-1(2H),2'-Oxiran]-5-Yl]Ethyl]Furan-2(5H)-One No suppilers available for the product. |
| Name | 4-[2-[(1R)-8aalpha-Acetoxymethyl-3,4,4abeta,5,6,7,8,8alpha-Octahydro-8alpha-Hydroxy-5alpha,6alpha-Dimethylspiro[Naphthalene-1(2H),2'-Oxiran]-5-Yl]Ethyl]Furan-2(5H)-One |
|---|---|
| Synonyms | [(1S,2R,4S,4Ar,5R,8Ar)-4-Hydroxy-1,2-Dimethyl-1-[2-(5-Oxo-2H-Furan-3-Yl)Ethyl]Spiro[Decalin-5,2'-Oxirane]-4A-Yl]Methyl Acetate; Acetic Acid [(1S,2R,4S,4Ar,5R,8Ar)-4-Hydroxy-1,2-Dimethyl-1-[2-(5-Oxo-2H-Furan-3-Yl)Ethyl]-4A-Spiro[Decalin-5,2'-Oxirane]Yl]Methyl Ester; Acetic Acid [(1S,2R,4S,4Ar,5R,8Ar)-4-Hydroxy-1-[2-(5-Keto-2H-Furan-3-Yl)Ethyl]-1,2-Dimethyl-Spiro[Decalin-5,2'-Oxirane]-4A-Yl]Methyl Ester |
| Molecular Structure | ![]() |
| Molecular Formula | C22H32O6 |
| Molecular Weight | 392.49 |
| CAS Registry Number | 62640-06-6 |
| SMILES | [C@@]24([C@]1(OC1)CCC[C@@H]2[C@](CCC3=CC(=O)OC3)(C)[C@@H](C[C@@H]4O)C)COC(=O)C |
| InChI | 1S/C22H32O6/c1-14-9-18(24)22(13-27-15(2)23)17(5-4-7-21(22)12-28-21)20(14,3)8-6-16-10-19(25)26-11-16/h10,14,17-18,24H,4-9,11-13H2,1-3H3/t14-,17-,18+,20+,21+,22+/m1/s1 |
| InChIKey | QDGFAVMJPYRERF-FYHNCAPNSA-N |
| Density | 1.225g/cm3 (Cal.) |
|---|---|
| Boiling point | 553.201°C at 760 mmHg (Cal.) |
| Flash point | 188.85°C (Cal.) |
| Market Analysis Reports |