| BOC Sciences | USA | |||
|---|---|---|---|---|
![]() | www.bocsci.com | |||
![]() | +1 (631) 485-4226 | |||
![]() | +1 (631) 614-7828 | |||
![]() | info@bocsci.com | |||
| Chemical manufacturer | ||||
| chemBlink Standard supplier since 2010 | ||||
| Hangzhou Leap Chem Co., Ltd. | China | |||
|---|---|---|---|---|
![]() | www.leapchem.com | |||
![]() | +86 (571) 8771-1850 | |||
![]() | market19@leapchem.com | |||
![]() | QQ Chat | |||
| Chemical manufacturer since 2006 | ||||
| chemBlink Standard supplier since 2015 | ||||
| Chengdu Biopurify Phytochemicals Ltd. | China | |||
|---|---|---|---|---|
![]() | www.phytopurify.com | |||
![]() | +86 (28) 8263-3860 8263-3987 | |||
![]() | +86 (28) 8263-3165 | |||
![]() | sales@biopurify.com biopurify@gmail.com | |||
![]() | QQ Chat | |||
![]() | Skype Chat | |||
| Chemical manufacturer | ||||
| chemBlink Standard supplier since 2017 | ||||
| Neostar United (Changzhou) Industrial Co., Ltd. | China | |||
|---|---|---|---|---|
![]() | www.neostarunited.com | |||
![]() | +86 (519) 8555-7386 +86 18015025600 | |||
![]() | +86 (519) 8555-7389 | |||
![]() | marketing1@neostarunited.com | |||
| Chemical distributor since 2014 | ||||
| chemBlink Standard supplier since 2020 | ||||
| Hebei Zhouzyme Biotechnology Co., Ltd. | China | |||
|---|---|---|---|---|
![]() | www.zhouzyme.com | |||
![]() | +86 (0311) 8529-7747 | |||
![]() | liya@zhouzyme.com | |||
![]() | QQ Chat | |||
![]() | WeChat: 13510071690 | |||
| Chemical manufacturer since 2015 | ||||
| chemBlink Standard supplier since 2023 | ||||
| Classification | Food additive >> Sweetener |
|---|---|
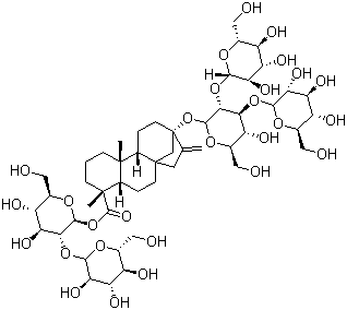
| Name | Rebaudioside D |
| Synonyms | (4alpha)-13-[(O-beta-D-Glucopyranosyl-(1-2)-O-[beta-D-glucopyranosyl-(1-3)]-beta-D-glucopyranosyl)oxy]kaur-16-en-18-oic acid 2-O-beta-D-glucopyranosyl-beta-D-glucopyranosyl ester |
| Molecular Structure | ![]() |
| Molecular Formula | C50H80O28 |
| Molecular Weight | 1129.17 |
| CAS Registry Number | 63279-13-0 |
| EC Number | 817-154-7 |
| SDS | Available |
|---|---|
| Market Analysis Reports |