Online Database of Chemicals from Around the World

Polymyxin T1
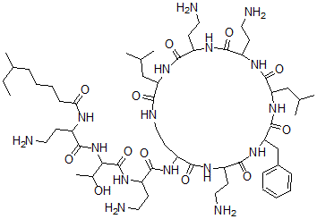
[CAS 63700-39-0]

Suppliers
CAS#: 63700-39-0
Product: Polymyxin T1
No suppilers available for the product.
Identification
Name Polymyxin T1
Synonyms N-[3-Amino-1-[[1-[[3-Amino-1-[[6,9,18-Tris(2-Aminoethyl)-3,12-Diisobutyl-2,5,8,11,14,17,20-Heptaoxo-15-(Phenylmethyl)-1,4,7,10,13,16,19-Heptazacyclotricos-21-Yl]Carbamoyl]Propyl]Carbamoyl]-2-Hydroxy-Propyl]Carbamoyl]Propyl]-6-Methyl-Octanamide; N-[3-Amino-1-[[[1-[[[3-Amino-1-[Oxo-[[6,9,18-Tris(2-Aminoethyl)-3,12-Diisobutyl-2,5,8,11,14,17,20-Heptaoxo-15-(Phenylmethyl)-1,4,7,10,13,16,19-Heptazacyclotricos-21-Yl]Amino]Methyl]Propyl]Amino]-Oxomethyl]-2-Hydroxypropyl]Amino]-Oxomethyl]Propyl]-6-Methyloctanamide; N-[3-Amino-1-[[1-[[3-Amino-1-[[6,9,18-Tris(2-Aminoethyl)-15-(Benzyl)-3,12-Diisobutyl-2,5,8,11,14,17,20-Heptaketo-1,4,7,10,13,16,19-Heptazacyclotricos-21-Yl]Carbamoyl]Propyl]Carbamoyl]-2-Hydroxy-Propyl]Carbamoyl]Propyl]-6-Methyl-Caprylamide
Molecular Structure CAS#: 63700-39-0, Polymyxin T1
Molecular Formula C58H102N16O12
Molecular Weight 1215.54
CAS Registry Number 63700-39-0
SMILES C2=C(CC1NC(=O)C(NC(=O)C(NC(=O)C(NC(=O)C(NC(=O)C(NC(=O)CCCCC(CC)C)CCN)C(O)C)CCN)CCNC(=O)C(NC(=O)C(NC(=O)C(NC(=O)C(NC1=O)CC(C)C)CCN)CCN)CC(C)C)CCN)C=CC=C2
InChI 1S/C58H102N16O12/c1-8-35(6)14-12-13-17-47(76)65-38(18-24-59)55(83)74-48(36(7)75)58(86)70-42(22-28-63)51(79)69-43-23-29-64-49(77)44(30-33(2)3)71-52(80)40(20-26-61)66-50(78)39(19-25-60)68-56(84)45(31-34(4)5)72-57(85)46(32-37-15-10-9-11-16-37)73-53(81)41(21-27-62)67-54(43)82/h9-11,15-16,33-36,38-46,48,75H,8,12-14,17-32,59-63H2,1-7H3,(H,64,77)(H,65,76)(H,66,78)(H,67,82)(H,68,84)(H,69,79)(H,70,86)(H,71,80)(H,72,85)(H,73,81)(H,74,83)
InChIKey IQLZHIIINCHIKY-UHFFFAOYSA-N
Properties
Density 1.245g/cm3 (Cal.)
Boiling point 1541.581°C at 760 mmHg (Cal.)
Flash point 886.116°C (Cal.)
Market Analysis Reports
Related Products
Poly-5-Methylth...  Poly(N-Methylvi...  Poly(methyl vin...  Poly(3-methyl-1...  Poly-2-Methyl-5...  Polymixin;[(1S)...  Polymixin E1;(6...  Poly[(6-morphol...  Polymyxin B(1);...  Polymyxin S1;N-...  Polymyxin D;N-[...  Polymyxin M;N-[...  Polymyxin B Non...  Polymyxin B sul...  Polynactin  Poly(1-Naphthyl...  Polyneopentyl G...  Poly[nitrilo[bi...  Poly[Nitrilo(Di...  Poly[nitrilomet...