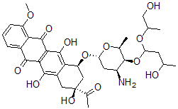
Identification
| Name |
Baumycins |
| Synonyms |
(7S,9S)-9-Acetyl-7-[(2R,4S,5S,6S)-4-Amino-5-[3-Hydroxy-1-(2-Hydroxy-1-Methyl-Ethoxy)Butoxy]-6-Methyl-Tetrahydropyran-2-Yl]Oxy-6,9,11-Trihydroxy-4-Methoxy-8,10-Dihydro-7H-Tetracene-5,12-Dione; (7S,9S)-9-Acetyl-7-[[(2R,4S,5S,6S)-4-Amino-5-[3-Hydroxy-1-(2-Hydroxy-1-Methylethoxy)Butoxy]-6-Methyl-2-Tetrahydropyranyl]Oxy]-6,9,11-Trihydroxy-4-Methoxy-8,10-Dihydro-7H-Tetracene-5,12-Dione; (7S,9S)-9-Acetyl-7-[(2R,4S,5S,6S)-4-Amino-5-[3-Hydroxy-1-(2-Hydroxy-1-Methyl-Ethoxy)Butoxy]-6-Methyl-Tetrahydropyran-2-Yl]Oxy-6,9,11-Trihydroxy-4-Methoxy-8,10-Dihydro-7H-Tetracene-5,12-Quinone |
|
| Molecular Structure |
 |
| Molecular Formula |
C34H43NO13 |
| Molecular Weight |
673.71 |
| CAS Registry Number |
64314-28-9 |
| SMILES |
[C@@H]3(O[C@@H]1O[C@H]([C@@H](OC(OC(CO)C)CC(O)C)[C@@H](N)C1)C)C2=C(O)C5=C(C(=C2C[C@](O)(C3)C(=O)C)O)C(=O)C4=CC=CC(=C4C5=O)OC |
| InChI |
1S/C34H43NO13/c1-14(37)9-23(45-15(2)13-36)48-33-16(3)46-24(10-20(33)35)47-22-12-34(43,17(4)38)11-19-26(22)32(42)28-27(30(19)40)29(39)18-7-6-8-21(44-5)25(18)31(28)41/h6-8,14-16,20,22-24,33,36-37,40,42-43H,9-13,35H2,1-5H3/t14?,15?,16-,20-,22-,23?,24-,33+,34-/m0/s1 |
| InChIKey |
MWURQTZZKGQQIE-GRZLGHIZSA-N |
|