Online Database of Chemicals from Around the World

1-[2-[[2-[[2-[[2-[2,5-Dioxo-3-(Tetratetracontenyl)-1-Pyrrolidinyl]Ethyl]Amino]Ethyl]Amino]Ethyl]Amino]Ethyl]-3-(Octatriacontenyl)Pyrrolidine-2,5-Dione
[CAS 64347-03-1]

Suppliers
CAS#: 64347-03-1
Product: 1-[2-[[2-[[2-[[2-[2,5-Dioxo-3-(Tetratetracontenyl)-1-Pyrrolidinyl]Ethyl]Amino]Ethyl]Amino]Ethyl]Amino]Ethyl]-3-(Octatriacontenyl)Pyrrolidine-2,5-Dione
No suppilers available for the product.
Identification
Name 1-[2-[[2-[[2-[[2-[2,5-Dioxo-3-(Tetratetracontenyl)-1-Pyrrolidinyl]Ethyl]Amino]Ethyl]Amino]Ethyl]Amino]Ethyl]-3-(Octatriacontenyl)Pyrrolidine-2,5-Dione
Synonyms 1-[2-[2-[2-[2-[3-[(E)-Octatriacont-1-Enyl]-2,5-Dioxo-Pyrrolidin-1-Yl]Ethylamino]Ethylamino]Ethylamino]Ethyl]-3-[(E)-Tetratetracont-1-Enyl]Pyrrolidine-2,5-Dione; 1-[2-[2-[2-[2-[3-[(E)-Octatriacont-1-Enyl]-2,5-Dioxo-1-Pyrrolidinyl]Ethylamino]Ethylamino]Ethylamino]Ethyl]-3-[(E)-Tetratetracont-1-Enyl]Pyrrolidine-2,5-Dione; 1-[2-[2-[2-[2-[2,5-Diketo-3-[(E)-Octatriacont-1-Enyl]Pyrrolidin-1-Yl]Ethylamino]Ethylamino]Ethylamino]Ethyl]-3-[(E)-Tetratetracont-1-Enyl]Pyrrolidine-2,5-Quinone
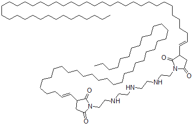
Molecular Structure CAS#: 64347-03-1, 1-[2-[[2-[[2-[[2-[2,5-Dioxo-3-(Tetratetracontenyl)-1-Pyrrolidinyl]Ethyl]Amino]Ethyl]Amino]Ethyl]Amino]Ethyl]-3-(Octatriacontenyl)Pyrrolidine-2,5-Dione
Molecular Formula C98H187N5O4
Molecular Weight 1499.59
CAS Registry Number 64347-03-1
EINECS 264-822-3
SMILES C(/C=C/C1C(N(C(C1)=O)CCNCCNCCNCCN2C(C(CC2=O)\C=C\CCCCCCCCCCCCCCCCCCCCCCCCCCCCCCCCCCCCCCCCCC)=O)=O)CCCCCCCCCCCCCCCCCCCCCCCCCCCCCCCCCCC
InChI 1S/C98H187N5O4/c1-3-5-7-9-11-13-15-17-19-21-23-25-27-29-31-33-35-37-39-41-42-43-44-45-46-48-50-52-54-56-58-60-62-64-66-68-70-72-74-76-78-80-82-94-92-96(105)103(98(94)107)90-88-101-86-84-99-83-85-100-87-89-102-95(104)91-93(97(102)106)81-79-77-75-73-71-69-67-65-63-61-59-57-55-53-51-49-47-40-38-36-34-32-30-28-26-24-22-20-18-16-14-12-10-8-6-4-2/h79-82,93-94,99-101H,3-78,83-92H2,1-2H3/b81-79+,82-80+
InChIKey MDMIGSHIEPEKDI-VISJHVAYSA-N
Market Analysis Reports
Related Products
N '-(1,1-Dioxo-...  3,5-Dioxo-2,3,4...  N-(3,5-Dioxo-2,...  2-[(3,5-Dioxo-2...  4-[(3,5-Dioxo-2...  6-[(4,6-Dioxo-1...  (2E)-2-[(3,5-Di...  N3-(...  3-(3,5-Dioxo-2,...  4,15-Dioxo-5,8,...  (2R,5R)-3,7-Dio...  3-(1,1-Dioxothi...  2-(1,1-Dioxo-1,...  2-[(5S)-2,4-Dio...  (2,4-Dioxo-1,3-...  N-(2,4-Dioxo-1,...  (2Z)-(2,4-Dioxo...  2-(2,4-Dioxo-5-...  5-[(2,4-Dioxo-1...  4-(2,4-Dioxothi...