Online Database of Chemicals from Around the World

2,3,4,5,6-Pentahydroxyhexanoic Acid
[CAS 6622-52-2]

Suppliers
Alfa Chemistry USA
+1 (201) 478-8534
inquiry@alfa-chemistry.com
Chemical distributor since 2012
chemBlink standard supplier since 2012
BOC Sciences USA
+1 (631) 485-4226
info@bocsci.com
Skype Chat
Chemical distributor
chemBlink massive supplier since 2012
City Chemical LLC USA
+1 (203) 932-2489
sales@citychemical.com
Chemical distributor
Xiamen Flint Chemical Co., Ltd. China
+86 (592) 389-2837
sales@flintchem.com
Chemical distributor
Identification
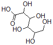
Name 2,3,4,5,6-Pentahydroxyhexanoic Acid
Synonyms D-Galactonic Acid Hemicalcium; CALCIUM GALACTONATE
Molecular Structure CAS#: 6622-52-2, 2,3,4,5,6-Pentahydroxyhexanoic Acid
Molecular Formula C6H12CaO7++
Molecular Weight 236.23
CAS Registry Number 6622-52-2
SMILES OCC(C(C(C(C(=O)O)O)O)O)O.[Ca+2]
InChI InChI=1S/C6H12O7.Ca/c7-1-2(8)3(9)4(10)5(11)6(12)13;/h2-5,7-11H,1H2,(H,12,13);/q;+2
Market Analysis Reports
Related Products
5,7,3',4',5'-Pe...  (6-beta,14R)-5,...  1,3,4,5,6-Penta...  (7E,12E,16Z,22Z...  (2S,3R,4S,5R)-2...  (2S,3S,4R,5R)-2...  2,3,4,5,6-Penta...  2,3,4,5,6-Penta...  2,3,4,5,6-Penta...  (2R,3S,4S,5R)-2...  (3S,4R,5S)-1,3,...  (3S,4S,5R)-1,3,...  [(2R,3R,4R,5R)-...  (2S)-2-[[(2R,3R...  [(2S,3R,4R,5R)-...  [(2S,3R,4R,5R)-...  [[(2S,3R,4R,5R)...  (2S,3R,4R,4aS,1...  (2R,3S,4R,5R)-2...  4,8,12,22,24-Pe...