Online Database of Chemicals from Around the World

Lancifodilactone C
[CAS 663176-26-9]

List of Suppliers
Chengdu Biopurify Phytochemicals Ltd. China
www.phytopurify.com
+86 (28) 8263-3860
8263-3987
+86 (28) 8263-3165
sales@biopurify.com
biopurify@gmail.com
QQ Chat
Skype Chat
Chemical manufacturer
chemBlink Standard supplier since 2017
Indofine Chemical Company, Inc. USA
www.indofinechemical.com
+1 (888) 463-6346
+1 (908) 359-1179
info@indofinechemical.com
Chemical manufacturer since 1981

Identification
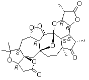
NameLancifodilactone C
Molecular StructureLancifodilactone C molecular structure (CAS 663176-26-9)
Molecular FormulaC29H36O10
Molecular Weight544.59
CAS Registry Number663176-26-9
Properties
SolubilitySlightly soluble (1.5 g/L) (25 °C), Calc.*
Density1.45±0.1 g/cm3 (20 °C 760 Torr), Calc.*
Melting point209-211 °C (methanol )**
*Calculated using Advanced Chemistry Development (ACD/Labs) Software V11.02 (©1994-2013 ACD/Labs)
**Li, Rong-Tao
Market Analysis Reports
Related Products
Lanasol Blue 3R  Lanasol scarlet...  Lanatacanth  Lanatigen C  Lanatin  Lanatoside A  Lanatoside B  Lanatoside D  Lanatoside E  Lanatosides  Lancifodilacton...  Lancifolin C  Lancovutide  Landiolol  Landiolol hydro...  Lanette Wax  Langbeinite(Mg2...  Lanifibranor  Laninamivir  Laninamivir oct...