Online Database of Chemicals from Around the World

Cyclo(Aminoheptanoic Acid-Cyclo(Cysteinyl-Phenylalanyl-D-Tryptophyl-Lysyl-Threonyl-Cysteinyl))
[CAS 70706-79-5]

Suppliers
CAS#: 70706-79-5
Product: Cyclo(Aminoheptanoic Acid-Cyclo(Cysteinyl-Phenylalanyl-D-Tryptophyl-Lysyl-Threonyl-Cysteinyl))
No suppilers available for the product.
Identification
Name Cyclo(Aminoheptanoic Acid-Cyclo(Cysteinyl-Phenylalanyl-D-Tryptophyl-Lysyl-Threonyl-Cysteinyl))
Synonyms 7-(4-Aminobutyl)-13-(Benzyl)-4-(1-Hydroxyethyl)-10-(1H-Indol-3-Ylmethyl)-28,29-Dithia-2,5,8,11,14,17,25-Heptazabicyclo[14.10.4]Triacontane-3,6,9,12,15,18,26-Heptone; Cyclo(Aminoheptanoic Acid-Cyclo(Cys-Phe-D-Trp-Lys-Thr-Cys)); Cyclo(Aminoheptanoic Acid-Cyclo(Cysteinyl-Phenylalanyl-D-Tryptophyl-Lysyl-Threonyl-Cysteinyl))
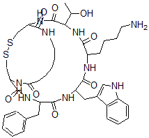
Molecular Structure CAS#: 70706-79-5, Cyclo(Aminoheptanoic Acid-Cyclo(Cysteinyl-Phenylalanyl-D-Tryptophyl-Lysyl-Threonyl-Cysteinyl))
Molecular Formula C43H59N9O8S2
Molecular Weight 894.11
CAS Registry Number 70706-79-5
SMILES C1=C(C2=C([NH]1)C=CC=C2)CC3NC(=O)C(NC(=O)C4NC(=O)CCCCCCNC(=O)C(NC(=O)C(NC(=O)C(NC3=O)CCCCN)C(O)C)CSSC4)CC5=CC=CC=C5
InChI 1S/C43H59N9O8S2/c1-26(53)37-43(60)51-34-24-61-62-25-35(47-36(54)18-7-2-3-12-20-45-38(34)55)42(59)49-32(21-27-13-5-4-6-14-27)40(57)50-33(22-28-23-46-30-16-9-8-15-29(28)30)41(58)48-31(39(56)52-37)17-10-11-19-44/h4-6,8-9,13-16,23,26,31-35,37,46,53H,2-3,7,10-12,17-22,24-25,44H2,1H3,(H,45,55)(H,47,54)(H,48,58)(H,49,59)(H,50,57)(H,51,60)(H,52,56)
InChIKey DJBKQPWDFYQVPB-UHFFFAOYSA-N
Properties
Density 1.214g/cm3 (Cal.)
Boiling point 1342.862°C at 760 mmHg (Cal.)
Flash point 765.935°C (Cal.)
Market Analysis Reports
Related Products
Cyclo(alanylpro...  Cyclo(Alanyl-Pr...  Cyclo(alanylval...  Cyclo(L-alanyl-...  Cyclo(L-Ala-D-T...  Cycloaliphatic ...  Cycloalkannin;2...  Cycloalkannin L...  Cycloalliin;(5S...  Cyclo(3-aminoal...  Cyclo(7-Aminohe...  Cyclo(2-amino-8...  2,4-Cycloandros...  (19,19-2  Cyclo(L-arginyl...  Cyclo[L-arginyl...  Cyclo(L-arginyl...  Cyclo[L-arginyl...  Cyclo(L-Arginyl...  Cyclo(L-Arginyl...