Online Database of Chemicals from Around the World

Diphosphoric acid trioctyl ester
[CAS 70715-01-4]

Suppliers
CAS#: 70715-01-4
Product: Diphosphoric acid trioctyl ester
No suppilers available for the product.
Identification
Name Diphosphoric acid trioctyl ester
Synonyms (Hydroxy-Octoxy-Phosphoryl) Dioctyl Phosphate; Phosphoric Acid (Hydroxy-Octoxyphosphoryl) Dioctyl Ester; Phosphoric Acid (Hydroxy-Octoxy-Phosphoryl) Dioctyl Ester
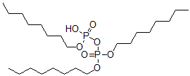
Molecular Structure CAS#: 70715-01-4, Diphosphoric acid trioctyl ester
Molecular Formula C24H52O7P2
Molecular Weight 514.62
CAS Registry Number 70715-01-4
SMILES C(O[P](O[P](=O)(O)OCCCCCCCC)(=O)OCCCCCCCC)CCCCCCC
InChI 1S/C24H52O7P2/c1-4-7-10-13-16-19-22-28-32(25,26)31-33(27,29-23-20-17-14-11-8-5-2)30-24-21-18-15-12-9-6-3/h4-24H2,1-3H3,(H,25,26)
InChIKey FCVRUTBPPSPDNI-UHFFFAOYSA-N
Properties
Density 1.038g/cm3 (Cal.)
Boiling point 552.466°C at 760 mmHg (Cal.)
Flash point 287.921°C (Cal.)
Market Analysis Reports
Related Products
Diphosphoric Ac...  Diphosphoric Ac...  Diphosphoric Ac...  Diphosphoric Ac...  Diphosphoric ac...  Diphosphoric ac...  Diphosphoric Ac...  Diphosphoric ac...  Diphosphoric Ac...  Diphosphoric Ac...  Diphosphoric ac...  Diphosphoric ac...  diphosphorous t...  Diphosphorus(II...  Diphosphorus tr...  Diphosphorus tr...  Diphosphoryl ch...  Diphoxazide;N'-...  1,2-Diphthalazi...  3,3'-Diphthalid...