Identification
| Name |
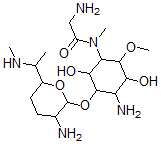
6'-N-Methylfortimicin A |
| Synonyms |
2-Amino-N-[4-Amino-3-[3-Amino-6-(1-Methylaminoethyl)Tetrahydropyran-2-Yl]Oxy-2,5-Dihydroxy-6-Methoxy-Cyclohexyl]-N-Methyl-Acetamide; 2-Amino-N-[4-Amino-3-[[3-Amino-6-(1-Methylaminoethyl)-2-Tetrahydropyranyl]Oxy]-2,5-Dihydroxy-6-Methoxycyclohexyl]-N-Methylacetamide; 2-Amino-N-[4-Amino-3-[3-Amino-6-(1-Methylaminoethyl)Oxan-2-Yl]Oxy-2,5-Dihydroxy-6-Methoxy-Cyclohexyl]-N-Methyl-Ethanamide |
|
| Molecular Structure |
 |
| Molecular Formula |
C18H37N5O6 |
| Molecular Weight |
419.52 |
| CAS Registry Number |
71657-34-6 |
| SMILES |
C(C(N(C1C(C(C(C(C1O)OC2OC(CCC2N)C(NC)C)N)O)OC)C)=O)N |
| InChI |
1S/C18H37N5O6/c1-8(22-2)10-6-5-9(20)18(28-10)29-16-12(21)14(25)17(27-4)13(15(16)26)23(3)11(24)7-19/h8-10,12-18,22,25-26H,5-7,19-21H2,1-4H3 |
| InChIKey |
GVJKHCUXAGLEDP-UHFFFAOYSA-N |
|