Online Database of Chemicals from Around the World

Rifamycin Verde
[CAS 72428-95-6]

Suppliers
CAS#: 72428-95-6
Product: Rifamycin Verde
No suppilers available for the product.
Identification
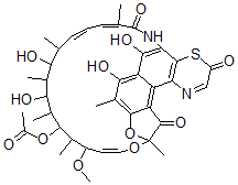
Name Rifamycin Verde
Molecular Structure CAS#: 72428-95-6, Rifamycin Verde
Molecular Formula C39H46N2O12S
Molecular Weight 766.86
CAS Registry Number 72428-95-6
SMILES CC25OC1=C(C(=C4C(=C1C2=O)C3=C(SC(=O)C=N3)C(=C4O)NC(=O)C(=C\C=C\C(C(O)C(C(O)C(C(OC(=O)C)C(C(OC)/C=C/O5)C)C)C)C)/C)O)C
InChI 1S/C39H46N2O12S/c1-16-11-10-12-17(2)38(49)41-29-33(47)26-25(28-36(29)54-24(43)15-40-28)27-35(21(6)32(26)46)53-39(8,37(27)48)51-14-13-23(50-9)18(3)34(52-22(7)42)20(5)31(45)19(4)30(16)44/h10-16,18-20,23,30-31,34,44-47H,1-9H3,(H,41,49)/b11-10+,14-13+,17-12-
InChIKey CIKJBUUPPXVFDE-AEZIOYLSSA-N
Market Analysis Reports
Related Products
Rifamycin B die...  Rifamycin B eth...  Rifamycin B iso...  Rifamycin L;Rif...  Rifamycin O;[(2...  Rifamycin P  Rifamycin Q;Rif...  Rifamycin S;1,4...  Rifamycin sodiu...  Rifamycin Sv;Mo...  Rifamycin W  Rifandin;Brn 10...  Rifandin;3-[[[4...  Rifapentine;3{[...  Rifapentine hyd...  Rifater;Rifater...  Rifaximin;2S-Ac...  Rifaximin  Rifaximin EP Im...  Rifocin M;Rifoc...