Online Database of Chemicals from Around the World

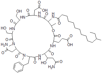
3-[6-(3-Amino-1-Hydroxy-3-Oxopropyl)-12-(2-Amino-2-Oxoethyl)-21-(Carboxymethyl)-15,18-Bis(Hydroxymethyl)-10,13,25-Trimethyl-24-(12-Methyltetradecanoylamino)-2,5,8,11,14,17,20,23-Octaoxo-9-(Phenylmethyl)-1-Oxa-4,7,10,13,16,19,22-Heptazacyclopentacos-3-Yl]Propanoic Acid
[CAS 73666-47-4]

Suppliers
CAS#: 73666-47-4
Product: 3-[6-(3-Amino-1-Hydroxy-3-Oxopropyl)-12-(2-Amino-2-Oxoethyl)-21-(Carboxymethyl)-15,18-Bis(Hydroxymethyl)-10,13,25-Trimethyl-24-(12-Methyltetradecanoylamino)-2,5,8,11,14,17,20,23-Octaoxo-9-(Phenylmethyl)-1-Oxa-4,7,10,13,16,19,22-Heptazacyclopentacos-3-Yl]Propanoic Acid
No suppilers available for the product.
Identification
Name 3-[6-(3-Amino-1-Hydroxy-3-Oxopropyl)-12-(2-Amino-2-Oxoethyl)-21-(Carboxymethyl)-15,18-Bis(Hydroxymethyl)-10,13,25-Trimethyl-24-(12-Methyltetradecanoylamino)-2,5,8,11,14,17,20,23-Octaoxo-9-(Phenylmethyl)-1-Oxa-4,7,10,13,16,19,22-Heptazacyclopentacos-3-Yl]Propanoic Acid
Synonyms 3-[6-(3-Amino-1-Hydroxy-3-Oxo-Propyl)-12-(2-Amino-2-Oxo-Ethyl)-21-(Carboxymethyl)-15,18-Bis(Hydroxymethyl)-10,13,25-Trimethyl-24-(12-Methyltetradecanoylamino)-2,5,8,11,14,17,20,23-Octaoxo-9-(Phenylmethyl)-1-Oxa-4,7,10,13,16,19,22-Heptazacyclopentacos-3-Yl]Propanoic Acid; 3-[6-(3-Amino-1-Hydroxy-3-Oxopropyl)-12-(2-Amino-2-Oxoethyl)-21-(Carboxymethyl)-15,18-Bis(Hydroxymethyl)-10,13,25-Trimethyl-24-[(12-Methyl-1-Oxotetradecyl)Amino]-2,5,8,11,14,17,20,23-Octaoxo-9-(Phenylmethyl)-1-Oxa-4,7,10,13,16,19,22-Heptazacyclopentacos-3-Yl]Propanoic Acid; 3-[6-(3-Amino-1-Hydroxy-3-Keto-Propyl)-12-(2-Amino-2-Keto-Ethyl)-9-(Benzyl)-21-(Carboxymethyl)-2,5,8,11,14,17,20,23-Octaketo-10,13,25-Trimethyl-15,18-Dimethylol-24-(12-Methyltetradecanoylamino)-1-Oxa-4,7,10,13,16,19,22-Heptazacyclopentacos-3-Yl]Propionic Acid
Molecular Structure CAS#: 73666-47-4, 3-[6-(3-Amino-1-Hydroxy-3-Oxopropyl)-12-(2-Amino-2-Oxoethyl)-21-(Carboxymethyl)-15,18-Bis(Hydroxymethyl)-10,13,25-Trimethyl-24-(12-Methyltetradecanoylamino)-2,5,8,11,14,17,20,23-Octaoxo-9-(Phenylmethyl)-1-Oxa-4,7,10,13,16,19,22-Heptazacyclopentacos-3-Yl]Propanoic Acid
Molecular Formula C54H84N10O19
Molecular Weight 1177.31
CAS Registry Number 73666-47-4
SMILES C2=C(CC1N(C(=O)C(N(C(=O)C(NC(=O)C(NC(=O)C(NC(=O)C(NC(=O)CCCCCCCCCCC(CC)C)C(OC(=O)C(NC(=O)C(NC1=O)C(O)CC(=O)N)CCC(=O)O)C)CC(=O)O)CO)CO)C)CC(=O)N)C)C=CC=C2
InChI 1S/C54H84N10O19/c1-6-30(2)18-14-11-9-7-8-10-12-17-21-42(70)61-45-31(3)83-54(82)33(22-23-43(71)72)57-51(79)46(39(67)27-41(56)69)62-49(77)37(24-32-19-15-13-16-20-32)63(4)53(81)38(26-40(55)68)64(5)52(80)36(29-66)60-48(76)35(28-65)59-47(75)34(25-44(73)74)58-50(45)78/h13,15-16,19-20,30-31,33-39,45-46,65-67H,6-12,14,17-18,21-29H2,1-5H3,(H2,55,68)(H2,56,69)(H,57,79)(H,58,78)(H,59,75)(H,60,76)(H,61,70)(H,62,77)(H,71,72)(H,73,74)
InChIKey AXMACOGXBDPVJT-UHFFFAOYSA-N
Properties
Density 1.362g/cm3 (Cal.)
Boiling point 1587.815°C at 760 mmHg (Cal.)
Flash point 914.077°C (Cal.)
Market Analysis Reports
Related Products
(2S,4R)-N-[(2S)...  (3S)-3-Amino-5-...  (2S)-2-Amino-5-...  2-(1-Amino-2-Hy...  (Z,3R)-1-[(2S)-...  7-[(2R)-3-[[(2S...  1-Amino-4-Hydro...  (2S)-2-[[(2R)-2...  (2E)-7-(2-Amino...  (2E)-8-(2-Amino...  3-(2-Amino-3-Hy...  2-(2-Amino-3-Hy...  7-(2-Amino-3-Hy...  [4-[(2E)-2-[3-[...  2-(2-Amino-3-Hy...  2-(2-Amino-3-Hy...  (5S,6R,7E,9E,11...  (5S,6R,7E,9E,11...  (5S,6R,7E,9E,11...  3-(2-Amino-3-Hy...