Online Database of Chemicals from Around the World

Prochloraz manganese
[CAS 75747-77-2]

List of Suppliers
Simagchem Corporation China
www.simagchem.com
+86 13806087780
+86 (592) 268-0237
sale@simagchem.com
Chemical manufacturer since 2002
chemBlink Standard supplier since 2008
Hefei TNJ Chemical Industry Co., Ltd. China
www.tnjchem.com
+86 (551) 6541-8684
+86 (551) 6541-8697
sales@tnjchem.com
Chemical manufacturer since 2001
chemBlink Standard supplier since 2010
BOC Sciences USA
www.bocsci.com
+1 (631) 485-4226
+1 (631) 614-7828
info@bocsci.com
Chemical manufacturer
chemBlink Standard supplier since 2010
AK Scientific, Inc USA
www.aksci.com
+1 (510) 429-8835
+1 (510) 429-8836
sales@aksci.com
Chemical manufacturer

Identification
ClassificationChemical pesticide >> Fungicide
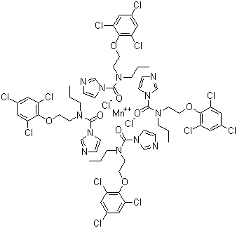
NameProchloraz manganese
SynonymsDichlorotetrakis(N-propyl-N-(2-(2,4,6-trichlorophenoxy)ethyl)-1H-imidazole-1-carboxamide)manganese
Molecular StructureProchloraz manganese molecular structure (CAS 75747-77-2)
Molecular FormulaC60H64Cl14MnN12O8
Molecular Weight1632.51
CAS Registry Number75747-77-2
EC Number278-301-3
Safety Data
Hazard Classification
up    Details
HazardClassCategory CodeHazard Statement
Acute hazardous to the aquatic environmentAquatic Acute1H400
Chronic hazardous to the aquatic environmentAquatic Chronic1H410
Acute toxicityAcute Tox.4H302
Market Analysis Reports
Related Products
Pro-Calcitonin  Pro-Calcitriol ...  Procarbazine  Procarbazine hy...  Procarbazone so...  Procaterol  Procaterol hydr...  Procaterol hydr...  Procaterol hydr...  Prochloraz  Prochlorperazin...  Prochlorperazin...  PROCHLORPERAZIN...  Prochlorperazin...  Prochlorperazin...  Prochlorperazin...  Prochlorperazin...  Procinolol  Procion Reactiv...  Proclonol