Online Database of Chemicals from Around the World

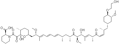
(2S)-1-[2-Oxo-2-[(2R,3R,6S)-tetrahydro-2-hydroxy-6-[(2S,3E,5E,7E,9S,11R,13R,14R,15E,17R,19Z,21R)-14-hydroxy-22-[(1S,3R,4R)-4-(2-hydroxyethoxy)-3-methoxycyclohexyl]-2,13-dimethoxy-3,9,11,15,17,21-hexamethyl-12,18-dioxo-3,5,7,15,19-docosapentaen-1-yl]-3-methyl-2H-pyran-2-yl]acetyl]-2-piperidinecarboxylic acid
[CAS 763911-41-7]

List of Suppliers
Amadis Chemical Co., Ltd. China
www.amadischem.com
+86 (571) 8992-5085
+86 (571) 8992-5065
sales@amadischem.com
Chemical manufacturer since 2010
chemBlink Standard supplier since 2015

Identification
ClassificationOrganic raw materials >> Heterocyclic compound >> Piperidines
Name(2S)-1-[2-Oxo-2-[(2R,3R,6S)-tetrahydro-2-hydroxy-6-[(2S,3E,5E,7E,9S,11R,13R,14R,15E,17R,19Z,21R)-14-hydroxy-22-[(1S,3R,4R)-4-(2-hydroxyethoxy)-3-methoxycyclohexyl]-2,13-dimethoxy-3,9,11,15,17,21-hexamethyl-12,18-dioxo-3,5,7,15,19-docosapentaen-1-yl]-3-methyl-2H-pyran-2-yl]acetyl]-2-piperidinecarboxylic acid
Molecular Structure(2S)-1-[2-Oxo-2-[(2R,3R,6S)-tetrahydro-2-hydroxy-6-[(2S,3E,5E,7E,9S,11R,13R,14R,15E,17R,19Z,21R)-14-hydroxy-22-[(1S,3R,4R)-4-(2-hydroxyethoxy)-3-methoxycyclohexyl]-2,13-dimethoxy-3,9,11,15,17,21-hexamethyl-12,18-dioxo-3,5,7,15,19-docosapentaen-1-yl]-3-methyl-2H-pyran-2-yl]acetyl]-2-piperidinecarboxylic acid molecular structure (CAS 763911-41-7)
Molecular FormulaC53H83NO14
Molecular Weight958.22
CAS Registry Number763911-41-7
Properties
SolubilityVery slightly soluble (0.22 g/L) (25 °C), Calc.*
Density1.17±0.1 g/cm3 (20 °C 760 Torr), Calc.*
*Calculated using Advanced Chemistry Development (ACD/Labs) Software V11.02 (©1994-2016 ACD/Labs)
Market Analysis Reports
Related Products
(9Z)-N-[(3S)-2-...  N-(2-Oxotetrahy...  2-(2-Oxotetrahy...  2-Oxotetrahydro...  6-Oxo-6-(tetrah...  Oxo[(tetrahydro...  N-(2-Oxotetrahy...  (2-Oxotetrahydr...  N-[(3S)-2-Oxote...  2-Oxotetrahydro...  6-Oxo-5,6,7,8-T...  5-Oxo-1,2,3,5-T...  4-Oxo-4,5,6,7-t...  4-Oxo-4,5,6,7-T...  7-Oxo-1,2,3,7-T...  N-(5-Oxo-1,2,3,...  4'-(3-Oxo-1,2,3...  1-Oxo-1,2,3,4-T...  6-Oxo-5,6,7,8-t...  5-Oxo-5,6,7,8-T...