Online Database of Chemicals from Around the World

(5S,7E,9E,11Z)-6-[(2R)-2-Amino-3-(Carboxymethylamino)-3-Oxopropyl]Sulfanyl-5-Hydroxyicosa-7,9,11-Trienoic Acid
[CAS 77165-74-3]

Suppliers
CAS#: 77165-74-3
Product: (5S,7E,9E,11Z)-6-[(2R)-2-Amino-3-(Carboxymethylamino)-3-Oxopropyl]Sulfanyl-5-Hydroxyicosa-7,9,11-Trienoic Acid
No suppilers available for the product.
Identification
Name (5S,7E,9E,11Z)-6-[(2R)-2-Amino-3-(Carboxymethylamino)-3-Oxopropyl]Sulfanyl-5-Hydroxyicosa-7,9,11-Trienoic Acid
Synonyms (5S,7E,9E,11Z)-6-[(2R)-2-Amino-3-(Carboxymethylamino)-3-Oxo-Propyl]Sulfanyl-5-Hydroxy-Icosa-7,9,11-Trienoic Acid; (5S,7E,9E,11Z)-6-[[(2R)-2-Amino-3-(Carboxymethylamino)-3-Oxopropyl]Thio]-5-Hydroxyicosa-7,9,11-Trienoic Acid; 2-[[(2R)-2-Amino-3-[[(2E,4E,6Z)-1-[(1S)-1,5-Dihydroxy-5-Keto-Pentyl]Pentadeca-2,4,6-Trienyl]Thio]Propanoyl]Amino]Acetic Acid
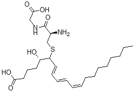
Molecular Structure CAS#: 77165-74-3, (5S,7E,9E,11Z)-6-[(2R)-2-Amino-3-(Carboxymethylamino)-3-Oxopropyl]Sulfanyl-5-Hydroxyicosa-7,9,11-Trienoic Acid
Molecular Formula C25H42N2O6S
Molecular Weight 498.68
CAS Registry Number 77165-74-3
SMILES [C@H](C(NCC(=O)O)=O)(N)CSC(\C=C\C=C\C=C/CCCCCCCC)[C@H](CCCC(=O)O)O
InChI 1S/C25H42N2O6S/c1-2-3-4-5-6-7-8-9-10-11-12-13-16-22(21(28)15-14-17-23(29)30)34-19-20(26)25(33)27-18-24(31)32/h9-13,16,20-22,28H,2-8,14-15,17-19,26H2,1H3,(H,27,33)(H,29,30)(H,31,32)/b10-9-,12-11+,16-13+/t20-,21-,22?/m0/s1
InChIKey SBFPHBDUKAKWJL-UMPCWDDMSA-N
Market Analysis Reports
Related Products
(4S)-4-Amino-5-...  (2S)-2-Amino-5-...  4-Amino-5-(carb...  2-Amino-4-(carb...  6-Amino-2-[[2-(...  (4S)-4-Amino-5-...  (2S)-2-Amino-5-...  (2R)-2-Amino-3-...  (5E,9E,14E)-11-...  (5S,7E,9E,11Z,1...  2-Amino-5-[[1-(...  (2S)-2-Amino-5-...  (2S)-2-Amino-3-...  alpha-Amino-4-C...  (alphaS)-alpha-...  alpha-Amino-4-c...  2-[Amino(Carbox...  4-[(R)-Amino(Ca...  3-[Amino(Carbox...  4-Amino-2-(Carb...