Online Database of Chemicals from Around the World

Ansamitocin Pdm-3
[CAS 77353-69-6]

Suppliers
CAS#: 77353-69-6
Product: Ansamitocin Pdm-3
No suppilers available for the product.
Identification
Name Ansamitocin Pdm-3
Synonyms Antibiotic C 15003Pnd-3; Antibiotic C-15003 Pdm-3; Maytansine, 2'-De(Acetylmethylamino)-22-Demethyl-2'-Methyl-
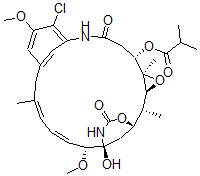
Molecular Structure CAS#: 77353-69-6, Ansamitocin Pdm-3
Molecular Formula C31H41ClN2O9
Molecular Weight 621.13
CAS Registry Number 77353-69-6
SMILES [C@]14(O[C@H]1[C@@H]([C@H]2OC(=O)N[C@](O)(C2)[C@H](OC)\C=C\C=C(CC3=CC(=C(Cl)C(=C3)OC)NC(=O)C[C@@H]4OC(=O)C(C)C)/C)C)C
InChI 1S/C31H41ClN2O9/c1-16(2)28(36)42-24-14-25(35)33-20-12-19(13-21(39-6)26(20)32)11-17(3)9-8-10-23(40-7)31(38)15-22(41-29(37)34-31)18(4)27-30(24,5)43-27/h8-10,12-13,16,18,22-24,27,38H,11,14-15H2,1-7H3,(H,33,35)(H,34,37)/b10-8+,17-9+/t18-,22+,23-,24+,27+,30+,31+/m1/s1
InChIKey BOYNDXJJKZMFBK-PRWXLFGZSA-N
Market Analysis Reports
Related Products
Anolobine;Anolo...  (-)-Anomalin  Anonaine;C09339...  Anonamine;Anona...  Anopterine;Anop...  Anordrin;A-Norp...  Anpirtolin mono...  Ansamitocin  Ansamitocin P 3...  Ansamitocin P-3  L-Anserine;L-N-...  L-Anserine nitr...  Ansofaxine hydr...  Ansoxetine;6-(3...  Antafenite;6-Ph...  5-HT2 antagonis...  Antazoline;Alba...  Antazoline hydr...  Antazoline Meth...  Antazoline Sulf...