Online Database of Chemicals from Around the World

Methyl 2-Hydroxy-3-[5'-Hydroxy-3-[(E)-4-[4-Hydroxy-2-[1-Hydroxy-3-(3-Methyl-1,7-Dioxaspiro[5.5]Undecan-2-Yl)Butyl]-3-Methylidenespiro[4a,7,8,8a-Tetrahydro-4H-Pyrano[5,6-b]Pyran-6,5'-Oxolane]-2'-Yl]But-3-En-2-Yl]-1-Methylspiro[4-Oxa-7-Thiabicyclo[4.1.0]Heptane-5,6'-Oxane]-2'-Yl]-2-Methylpropanoate
[CAS 78111-16-7]

Suppliers
CAS#: 78111-16-7
Product: Methyl 2-Hydroxy-3-[5'-Hydroxy-3-[(E)-4-[4-Hydroxy-2-[1-Hydroxy-3-(3-Methyl-1,7-Dioxaspiro[5.5]Undecan-2-Yl)Butyl]-3-Methylidenespiro[4a,7,8,8a-Tetrahydro-4H-Pyrano[5,6-b]Pyran-6,5'-Oxolane]-2'-Yl]But-3-En-2-Yl]-1-Methylspiro[4-Oxa-7-Thiabicyclo[4.1.0]Heptane-5,6'-Oxane]-2'-Yl]-2-Methylpropanoate
No suppilers available for the product.
Identification
Name Methyl 2-Hydroxy-3-[5'-Hydroxy-3-[(E)-4-[4-Hydroxy-2-[1-Hydroxy-3-(3-Methyl-1,7-Dioxaspiro[5.5]Undecan-2-Yl)Butyl]-3-Methylidenespiro[4a,7,8,8a-Tetrahydro-4H-Pyrano[5,6-b]Pyran-6,5'-Oxolane]-2'-Yl]But-3-En-2-Yl]-1-Methylspiro[4-Oxa-7-Thiabicyclo[4.1.0]Heptane-5,6'-Oxane]-2'-Yl]-2-Methylpropanoate
Synonyms Methyl 2-Hydroxy-3-[5'-Hydroxy-3-[(E)-3-[4-Hydroxy-2-[1-Hydroxy-3-(3-Methyl-1,7-Dioxaspiro[5.5]Undecan-2-Yl)Butyl]-3-Methylene-Spiro[4A,7,8,8A-Tetrahydro-4H-Pyrano[5,6-B]Pyran-6,5'-Tetrahydrofuran]-2'-Yl]-1-Methyl-Prop-2-Enyl]-1-Methyl-Spiro[4-Oxa-7-Thiabicyclo[4.1.0]Heptane-5,6'-Tetrahydropyran]-2'-Yl]-2-Methyl-Propanoate; 2-Hydroxy-3-[5'-Hydroxy-3-[(E)-3-[4-Hydroxy-2-[1-Hydroxy-3-(3-Methyl-1,7-Dioxaspiro[5.5]Undecan-2-Yl)Butyl]-3-Methylene-2'-Spiro[4A,7,8,8A-Tetrahydro-4H-Pyrano[5,6-B]Pyran-6,5'-Tetrahydrofuran]Yl]-1-Methylprop-2-Enyl]-1-Methyl-2'-Spiro[4-Oxa-7-Thiabicyclo[4.1.0]Heptane-5,6'-Tetrahydropyran]Yl]-2-Methylpropanoic Acid Methyl Ester; 2-Hydroxy-3-[5'-Hydroxy-3-[(E)-3-[4-Hydroxy-2-[1-Hydroxy-3-(3-Methyl-1,7-Dioxaspiro[5.5]Undecan-2-Yl)Butyl]-3-Methylene-Spiro[4A,7,8,8A-Tetrahydro-4H-Pyrano[5,6-B]Pyran-6,5'-Tetrahydrofuran]-2'-Yl]-1-Methyl-Prop-2-Enyl]-1-Methyl-Spiro[4-Oxa-7-Thiabicyclo[4.1.0]Heptane-5,6'-Tetrahydropyran]-2'-Yl]-2-Methyl-Propionic Acid Methyl Ester
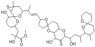
Molecular Structure CAS#: 78111-16-7, Methyl 2-Hydroxy-3-[5'-Hydroxy-3-[(E)-4-[4-Hydroxy-2-[1-Hydroxy-3-(3-Methyl-1,7-Dioxaspiro[5.5]Undecan-2-Yl)Butyl]-3-Methylidenespiro[4a,7,8,8a-Tetrahydro-4H-Pyrano[5,6-b]Pyran-6,5'-Oxolane]-2'-Yl]But-3-En-2-Yl]-1-Methylspiro[4-Oxa-7-Thiabicyclo[4.1.0]Heptane-5,6'-Oxane]-2'-Yl]-2-Methylpropanoate
Molecular Formula C45H70O13S
Molecular Weight 851.10
CAS Registry Number 78111-16-7
SMILES C(C8OC1(OC(CC2(SC12)C)C(\C=C\C7OC6(OC3C(OC(C(C3O)=C)C(O)CC(C5OC4(OCCCC4)CCC5C)C)CC6)CC7)C)C(O)CC8)C(O)(C(OC)=O)C
InChI 1S/C45H70O13S/c1-25(33-24-42(6)39(59-42)45(56-33)34(47)13-12-30(55-45)23-41(5,50)40(49)51-7)10-11-29-15-19-44(54-29)20-16-32-38(58-44)35(48)28(4)37(53-32)31(46)22-27(3)36-26(2)14-18-43(57-36)17-8-9-21-52-43/h10-11,25-27,29-39,46-48,50H,4,8-9,12-24H2,1-3,5-7H3/b11-10+
InChIKey RGDJFRFEGQREJC-ZHACJKMWSA-N
Properties
Density 1.299g/cm3 (Cal.)
Boiling point 923.862°C at 760 mmHg (Cal.)
Flash point 512.533°C (Cal.)
Market Analysis Reports
Related Products
Methyl 3-hydrox...  Methyl 11-Hydro...  Methyl 2-Hydrox...  Methyl (4-Hydro...  Methyl (4-Hydro...  Methyl (6-Hydro...  Methyl 4-Hydrox...  Methyl 6-Hydrox...  Methyl [7-Hydro...  Methyl (1S,4aR,...  Methyl 3-Hydrox...  Methyl 6-[[2-[4...  Methyl 2-Hydrox...  Methyl 4-({2-[(...  2-Methyl-3-Hydr...  Methyl [3-hydro...  Methyl (4S)-4-h...  Methyl 4-Hydrox...  Methyl 5-[(3aS,...  Methyl 2-[2-[(3...