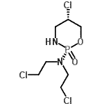
Identification
| Name |
(2S,5S)-5-Chloro-N,N-bis(2-chloroethyl)-1,3,2-oxazaphosphinan-2-amine 2-oxide |
| Synonyms |
cis-2-(Bis(2-chloroethyl)amino)-5-chlorotetrahydro-2H-1,3,2-oxazaphosphorine 2-oxide; cis-5-Chlorocyclophosphamide |
|
| Molecular Structure |
 |
| Molecular Formula |
C7H14Cl3N2O2P |
| Molecular Weight |
295.53 |
| CAS Registry Number |
78542-61-7 |
| SMILES |
O=P1(OC[C@@H](Cl)CN1)N(CCCl)CCCl |
| InChI |
1S/C7H14Cl3N2O2P/c8-1-3-12(4-2-9)15(13)11-5-7(10)6-14-15/h7H,1-6H2,(H,11,13)/t7-,15-/m0/s1 |
| InChIKey |
SOAIQMUEYYSJNA-ZIDLFYJRSA-N |
|