Online Database of Chemicals from Around the World

(4R,7S,10S,13S,16S,19R)-10-(4-Aminobutyl)-19-[[(2S)-2-Amino-3-Phenylpropanoyl]Amino]-7-(1-Hydroxyethyl)-13-(1H-Indol-3-Ylmethyl)-6,9,12,15,18-Pentaoxo-16-(Phenylmethyl)-1,2-Dithia-5,8,11,14,17-Pentazacycloicosane-4-Carboxamide
[CAS 79486-60-5]

Suppliers
CAS#: 79486-60-5
Product: (4R,7S,10S,13S,16S,19R)-10-(4-Aminobutyl)-19-[[(2S)-2-Amino-3-Phenylpropanoyl]Amino]-7-(1-Hydroxyethyl)-13-(1H-Indol-3-Ylmethyl)-6,9,12,15,18-Pentaoxo-16-(Phenylmethyl)-1,2-Dithia-5,8,11,14,17-Pentazacycloicosane-4-Carboxamide
No suppilers available for the product.
Identification
Name (4R,7S,10S,13S,16S,19R)-10-(4-Aminobutyl)-19-[[(2S)-2-Amino-3-Phenylpropanoyl]Amino]-7-(1-Hydroxyethyl)-13-(1H-Indol-3-Ylmethyl)-6,9,12,15,18-Pentaoxo-16-(Phenylmethyl)-1,2-Dithia-5,8,11,14,17-Pentazacycloicosane-4-Carboxamide
Synonyms (4R,7S,10S,13S,16S,19R)-10-(4-Aminobutyl)-19-[[(2S)-2-Amino-3-Phenyl-Propanoyl]Amino]-7-(1-Hydroxyethyl)-13-(1H-Indol-3-Ylmethyl)-6,9,12,15,18-Pentaoxo-16-(Phenylmethyl)-1,2-Dithia-5,8,11,14,17-Pentazacycloicosane-4-Carboxamide; (4R,7S,10S,13S,16S,19R)-10-(4-Aminobutyl)-19-[[(2S)-2-Amino-1-Oxo-3-Phenylpropyl]Amino]-7-(1-Hydroxyethyl)-13-(1H-Indol-3-Ylmethyl)-6,9,12,15,18-Pentaoxo-16-(Phenylmethyl)-1,2-Dithia-5,8,11,14,17-Pentazacycloicosane-4-Carboxamide; (4R,7S,10S,13S,16S,19R)-10-(4-Aminobutyl)-19-[[(2S)-2-Amino-3-Phenyl-Propanoyl]Amino]-16-(Benzyl)-7-(1-Hydroxyethyl)-13-(1H-Indol-3-Ylmethyl)-6,9,12,15,18-Pentaketo-1,2-Dithia-5,8,11,14,17-Pentazacycloicosane-4-Carboxamide
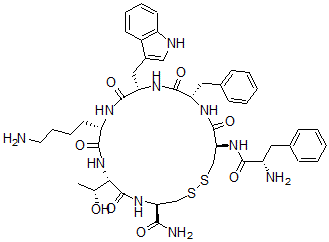
Molecular Structure CAS#: 79486-60-5, (4R,7S,10S,13S,16S,19R)-10-(4-Aminobutyl)-19-[[(2S)-2-Amino-3-Phenylpropanoyl]Amino]-7-(1-Hydroxyethyl)-13-(1H-Indol-3-Ylmethyl)-6,9,12,15,18-Pentaoxo-16-(Phenylmethyl)-1,2-Dithia-5,8,11,14,17-Pentazacycloicosane-4-Carboxamide
Molecular Formula C45H58N10O8S2
Molecular Weight 931.14
CAS Registry Number 79486-60-5
SMILES [C@H]2(NC(=O)[C@@H](NC(=O)[C@@H](NC(=O)[C@@H](N)CC1=CC=CC=C1)CSSC[C@H](NC(=O)[C@@H](NC(=O)[C@@H](NC2=O)CCCCN)[C@H](O)C)C(=O)N)CC3=CC=CC=C3)CC4=C[NH]C5=C4C=CC=C5
InChI 1S/C45H58N10O8S2/c1-26(56)38-45(63)53-36(39(48)57)24-64-65-25-37(54-40(58)31(47)20-27-12-4-2-5-13-27)44(62)51-34(21-28-14-6-3-7-15-28)42(60)52-35(22-29-23-49-32-17-9-8-16-30(29)32)43(61)50-33(41(59)55-38)18-10-11-19-46/h2-9,12-17,23,26,31,33-38,49,56H,10-11,18-22,24-25,46-47H2,1H3,(H2,48,57)(H,50,61)(H,51,62)(H,52,60)(H,53,63)(H,54,58)(H,55,59)/t26-,31+,33+,34+,35+,36+,37+,38+/m1/s1
InChIKey PWRIWNRQEPOGNP-DYDSHOKNSA-N
Properties
Density 1.395g/cm3 (Cal.)
Boiling point 1378.071°C at 760 mmHg (Cal.)
Flash point 787.229°C (Cal.)
Market Analysis Reports
Related Products
S-(2-((4-Aminob...  -aminobutyl)amino]heptyl]-4-hydroxy-?S-[(1-oxobutyl)amino]-benzenepropanamide, dihydrochloride";(S)-N-[7-[(4-Aminobutyl)amino]heptyl]-4-hydroxy-a-[(1-oxobutyl)amino]benzenepropanamide dihydrochloride;N-[7-[(4-aminobutyl)amino]heptyl]-4-hydroxy-?S-[(1-oxobutyl)amino]-benzenepropanamide, dihydrochloride">N-{7-[(4-Aminob...  (4R,7S,13S,16R)...  (2S,3S)-3-[[(2S...  6-Amino-5-(Buty...  5-(4-Aminobutyl...  (4R,7S,10S,13R,...  2-[(4-Aminobuty...  [(4-Aminobutyl)...  N-(2-Amino-4-Bu...  N'-(4-Aminobuty...  N-(3-((4-Aminob...  N-[3-(4-Aminobu...  N1-[3-[(4-Amino...  2-[3-(4-Aminobu...  [(3R,6R)-6-[(3S...  (2S,3S,4S,5R,6R...  N-[3-(4-Aminobu...  N-(4-Aminobutyl...  6-Amino-5-(Buty...