Online Database of Chemicals from Around the World

(3S,6S,9S,12S,15S)-6,9-Bis(4-Aminobutyl)-3-[(4-Hydroxyphenyl)Methyl]-12-(2-Methylpropyl)-15-(Phenylmethyl)-1,4,7,10,13,16-Hexazacyclooctadecane-2,5,8,11,14,17-Hexone
[CAS 79525-56-7]

Suppliers
CAS#: 79525-56-7
Product: (3S,6S,9S,12S,15S)-6,9-Bis(4-Aminobutyl)-3-[(4-Hydroxyphenyl)Methyl]-12-(2-Methylpropyl)-15-(Phenylmethyl)-1,4,7,10,13,16-Hexazacyclooctadecane-2,5,8,11,14,17-Hexone
No suppilers available for the product.
Identification
Name (3S,6S,9S,12S,15S)-6,9-Bis(4-Aminobutyl)-3-[(4-Hydroxyphenyl)Methyl]-12-(2-Methylpropyl)-15-(Phenylmethyl)-1,4,7,10,13,16-Hexazacyclooctadecane-2,5,8,11,14,17-Hexone
Synonyms (3S,6S,9S,12S,15S)-6,9-Bis(4-Aminobutyl)-3-[(4-Hydroxyphenyl)Methyl]-12-Isobutyl-15-(Phenylmethyl)-1,4,7,10,13,16-Hexazacyclooctadecane-2,5,8,11,14,17-Hexone; (3S,6S,9S,12S,15S)-6,9-Bis(4-Aminobutyl)-15-(Benzyl)-3-(4-Hydroxybenzyl)-12-Isobutyl-1,4,7,10,13,16-Hexazacyclooctadecane-2,5,8,11,14,17-Triquinone; Lys-Lys-Linked Cyclic Leucine Enkephalin
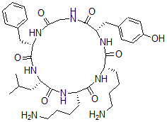
Molecular Structure CAS#: 79525-56-7, (3S,6S,9S,12S,15S)-6,9-Bis(4-Aminobutyl)-3-[(4-Hydroxyphenyl)Methyl]-12-(2-Methylpropyl)-15-(Phenylmethyl)-1,4,7,10,13,16-Hexazacyclooctadecane-2,5,8,11,14,17-Hexone
Molecular Formula C38H56N8O7
Molecular Weight 736.91
CAS Registry Number 79525-56-7
SMILES [C@H]1(NC(=O)[C@@H](NC(=O)CNC(=O)[C@@H](NC(=O)[C@@H](NC(=O)[C@@H](NC1=O)CCCCN)CCCCN)CC2=CC=C(O)C=C2)CC3=CC=CC=C3)CC(C)C
InChI 1S/C38H56N8O7/c1-24(2)20-30-37(52)44-28(12-6-8-18-39)35(50)43-29(13-7-9-19-40)36(51)46-31(22-26-14-16-27(47)17-15-26)34(49)41-23-33(48)42-32(38(53)45-30)21-25-10-4-3-5-11-25/h3-5,10-11,14-17,24,28-32,47H,6-9,12-13,18-23,39-40H2,1-2H3,(H,41,49)(H,42,48)(H,43,50)(H,44,52)(H,45,53)(H,46,51)/t28-,29-,30-,31-,32-/m0/s1
InChIKey IGAGSIVYOPTBPJ-XDIGFQIYSA-N
Properties
Density 1.135g/cm3 (Cal.)
Boiling point 1144.666°C at 760 mmHg (Cal.)
Flash point 646.07°C (Cal.)
Market Analysis Reports
Related Products
1,5-Bis(4-amidi...  2,2-Bis[(aminoa...  2,3-Bis[amino[(...  N,N'-Bis(2-Amin...  2,2-Bis(3-(3-am...  1,3-Bis[2-[(2-A...  1,4-Bis(4-Amino...  2,4-Bis(4-Amino...  2,6-Bis[2-Amino...  N,N'-Bis(3-Amin...  1,3-Bis(4-Amino...  L-3,6-Bis(5-(be...  Bis[(E)-Amino-N...  Bis(4-amino-3-c...  Bis[(3-amino-3-...  Bis(4-amino-2-c...  Bis(4-aminocycl...  Bis[(Aminocyclo...  Bis(4-amino-2,3...  1,2-Bis(2-Amino...