| Discovery Fine Chemicals Ltd. | UK | |||
|---|---|---|---|---|
![]() | www.discofinechem.com | |||
![]() | +44 (1202) 874-517 | |||
![]() | +44 (845) 094-4385 | |||
![]() | pjc@discofinechem.com | |||
| Chemical manufacturer | ||||
| chemBlink Standard supplier since 2009 | ||||
| Zhejiang Chemline industries Co., Ltd. | China | |||
|---|---|---|---|---|
![]() | www.chinachemline.com | |||
![]() | +86 (571) 8720-7757 | |||
![]() | +86 (571) 8806-2298 | |||
![]() | chemline_08@hotmail.com 360759612@qq.com | |||
| Chemical distributor since 2004 | ||||
| chemBlink Standard supplier since 2009 | ||||
| Zhejiang Ouhua Chemical Imp. & Exp. Co., Ltd. | China | |||
|---|---|---|---|---|
![]() | www.ouhuachem.com | |||
![]() | +86 (576) 8882-6717 | |||
![]() | +86 (576) 8882-8330 | |||
![]() | ouhuachem@gmail.com | |||
| Chemical distributor | ||||
| chemBlink Standard supplier since 2009 | ||||
| Taizhou Crene Biotechnology Co., Ltd. | China | |||
|---|---|---|---|---|
![]() | www.pharm-intermediates.com | |||
![]() | +86 (576) 8881-3233 8820-5808 +86 13396860566 | |||
![]() | +86 (576) 8822-9589 | |||
![]() | sales@pharm-intermediates.com | |||
![]() | QQ Chat | |||
| Chemical manufacturer since 2011 | ||||
| chemBlink Standard supplier since 2009 | ||||
| BOC Sciences | USA | |||
|---|---|---|---|---|
![]() | www.bocsci.com | |||
![]() | +1 (631) 485-4226 | |||
![]() | +1 (631) 614-7828 | |||
![]() | info@bocsci.com | |||
| Chemical manufacturer | ||||
| chemBlink Standard supplier since 2010 | ||||
| DMS Chemical Pharmaceutical Inc. Ltd. | China | |||
|---|---|---|---|---|
![]() | www.dmschemical.com | |||
![]() | +86 (21) 5109-7611 | |||
![]() | +86 (21) 5109-7633 | |||
![]() | sales@dmschemical.com dmschemical@vip.sina.com | |||
| Chemical manufacturer | ||||
| chemBlink Standard supplier since 2012 | ||||
| Glentham Life Sciences | UK | |||
|---|---|---|---|---|
![]() | www.glenthamls.com | |||
![]() | +44 (2033) 978-798 | |||
![]() | +44 (2033) 978-909 | |||
![]() | info@glenthamls.com | |||
| Chemical distributor since 2013 | ||||
| chemBlink Standard supplier since 2013 | ||||
| Hangzhou Leap Chem Co., Ltd. | China | |||
|---|---|---|---|---|
![]() | www.leapchem.com | |||
![]() | +86 (571) 8771-1850 | |||
![]() | market19@leapchem.com | |||
![]() | QQ Chat | |||
| Chemical manufacturer since 2006 | ||||
| chemBlink Standard supplier since 2015 | ||||
| Amadis Chemical Co., Ltd. | China | |||
|---|---|---|---|---|
![]() | www.amadischem.com | |||
![]() | +86 (571) 8992-5085 | |||
![]() | +86 (571) 8992-5065 | |||
![]() | sales@amadischem.com | |||
| Chemical manufacturer since 2010 | ||||
| chemBlink Standard supplier since 2015 | ||||
| Chempro Pharma Private Limited | India | |||
|---|---|---|---|---|
![]() | www.chemprogroup.com | |||
![]() | +91 (22) 4348-6412 | |||
![]() | vandan@chemprogroup.net | |||
| Chemical manufacturer since 1991 | ||||
| chemBlink Standard supplier since 2016 | ||||
| LKT Laboratories, Inc. | USA | |||
|---|---|---|---|---|
![]() | www.lktlabs.com | |||
![]() | +1 (888) 558-5227 | |||
![]() | +1 (651) 644-8357 | |||
![]() | peacerli@mbolin-lktlabs.com | |||
| Chemical manufacturer | ||||
| American Radiolabeled Chemicals, Inc. | USA | |||
|---|---|---|---|---|
![]() | www.arc-inc.com | |||
![]() | +1 (314) 991-4545 | |||
![]() | +1 (314) 991-4692 | |||
![]() | arcinc@arc-inc.com | |||
| Chemical manufacturer since 1983 | ||||
| Santa Cruz Biotechnology, Inc. | USA | |||
|---|---|---|---|---|
![]() | www.scbt.com | |||
![]() | +1 (831) 457-3800 | |||
![]() | +1 (831) 457-3801 | |||
![]() | scbt@scbt.com | |||
| Chemical manufacturer | ||||
| Sinova Corporation | USA | |||
|---|---|---|---|---|
![]() | www.sinovainc.com | |||
![]() | +1 (301) 961-1525 | |||
![]() | +1 (240) 235-4288 | |||
![]() | sales@sinovainc.com | |||
| Chemical manufacturer | ||||
| Toronto Research Chemicals Inc. | Canada | |||
|---|---|---|---|---|
![]() | www.trc-canada.com | |||
![]() | +1 (416) 665-9696 | |||
![]() | +1 (416) 665-4439 | |||
![]() | info@trc-canada.com | |||
| Chemical manufacturer since 1982 | ||||
| Classification | API >> Antibiotics >> Macrolide drug |
|---|---|
| Name | Clarithromycin |
| Synonyms | 6-O-Methylerythromycin; A-56268; Biaxin; Klacid; TE-03 |
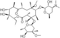
| Molecular Structure | ![]() |
| Molecular Formula | C38H69NO13 |
| Molecular Weight | 747.96 |
| CAS Registry Number | 81103-11-9 |
| EC Number | 617-200-4 |
| Melting point | 217-220 °C |
|---|---|
| Hazard Classification | |||||||||||||||||||||||||||||||||||||||||||||||||||||
|---|---|---|---|---|---|---|---|---|---|---|---|---|---|---|---|---|---|---|---|---|---|---|---|---|---|---|---|---|---|---|---|---|---|---|---|---|---|---|---|---|---|---|---|---|---|---|---|---|---|---|---|---|---|
| |||||||||||||||||||||||||||||||||||||||||||||||||||||
| SDS | Available | ||||||||||||||||||||||||||||||||||||||||||||||||||||
| Market Analysis Reports |