Online Database of Chemicals from Around the World

16,17-Dihydro-17-Hydroxyrifamycin S
[CAS 82534-57-4]

Suppliers
CAS#: 82534-57-4
Product: 16,17-Dihydro-17-Hydroxyrifamycin S
No suppilers available for the product.
Identification
Name 16,17-Dihydro-17-Hydroxyrifamycin S
Synonyms 16,17-Di-Hy-Rifamycin S; 16,17-Dihydro-17-Hydroxyrifamycin S
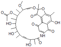
Molecular Structure CAS#: 82534-57-4, 16,17-Dihydro-17-Hydroxyrifamycin S
Molecular Formula C37H47NO13
Molecular Weight 713.78
CAS Registry Number 82534-57-4
SMILES CC(OC4C(C(C(C(C(/C=C/C(C(C(NC2=CC(C1=C3C(=C(C(=C1C2=O)O)C)OC(C3=O)(O\C=C\C(C4C)OC)C)=O)=O)C)O)C)O)C)O)C)=O
InChI 1S/C37H47NO13/c1-15-10-11-23(40)16(2)36(47)38-22-14-24(41)26-27(32(22)45)31(44)20(6)34-28(26)35(46)37(8,51-34)49-13-12-25(48-9)17(3)33(50-21(7)39)19(5)30(43)18(4)29(15)42/h10-19,23,25,29-30,33,40,42-44H,1-9H3,(H,38,47)/b11-10+,13-12+
InChIKey NPAOKHUSTYPBJH-AQASXUMVSA-N
Properties
Density 1.359g/cm3 (Cal.)
Boiling point 938.079°C at 760 mmHg (Cal.)
Flash point 521.131°C (Cal.)
Market Analysis Reports
Related Products
(4S)-4,5-Dihydr...  1,4-Dihydro-1-H...  3,4-Dihydro-N-H...  (2R,11aS)-rel-2...  3,4-Dihydro-6-h...  7,8-Dihydro-3-h...  3,4-Dihydro-7-h...  N-[2,3-Dihydro-...  N-[2,3-Dihydro-...  (S)-4,5-Dihydro...  1',2'-Dihydro-6...  2-(3,4-Dihydro-...  2,5-Dihydro-1-H...  (10alpha,11beta...  (10R,11S,12S)-1...  (3E,5E)-1-[(2,5...  3,4-Dihydro-4-h...  5,6-Dihydro-5-h...  1,3-Dihydro-1-[...  (6R)-5,6-Dihydr...