Online Database of Chemicals from Around the World

Spasmofen
[CAS 82824-08-6]

Suppliers
CAS#: 82824-08-6
Product: Spasmofen
No suppilers available for the product.
Identification
Name Spasmofen
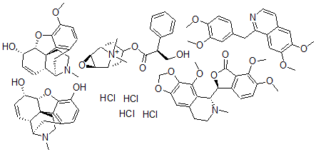
Molecular Structure CAS#: 82824-08-6, Spasmofen
Molecular Formula C95H112Cl4N5O21
Molecular Weight 1801.76
CAS Registry Number 82824-08-6
SMILES [Cl].[Cl].[Cl].[Cl].O3[C@@H]5[C@]12[C@H]([C@H](N(CC1)C)CC4=C2C3=C(OC)C=C4)C=C[C@@H]5O.O8[C@@H]%10[C@]67[C@H]([C@H](N(CC6)C)CC9=C7C8=C(O)C=C9)C=C[C@@H]%10O.O%14[C@H]([C@@H]%12N(CCC%13=CC%11=C(OCO%11)C(=C%12%13)OC)C)C%15=C(C%14=O)C(=C(OC)C=C%15)OC.O(C%16=C(OC)C=C%17C(=C%16)C(=NC=C%17)CC%18=CC(=C(OC)C=C%18)OC)C.[N+]%20([C@H]%22[C@H]%19O[C@H]%19[C@@H]%20CC(OC(=O)[C@H](CO)C%21=CC=CC=C%21)C%22)(C)C.[H].[H].[H].[H]
InChI 1S/C22H23NO7.C20H21NO4.C18H24NO4.C18H21NO3.C17H19NO3.4Cl.4H/c1-23-8-7-11-9-14-20(29-10-28-14)21(27-4)15(11)17(23)18-12-5-6-13(25-2)19(26-3)16(12)22(24)30-18;1-22-17-6-5-13(10-18(17)23-2)9-16-15-12-20(25-4)19(24-3)11-14(15)7-8-21-16;1-19(2)14-8-12(9-15(19)17-16(14)23-17)22-18(21)13(10-20)11-6-4-3-5-7-11;1-19-8-7-18-11-4-5-13(20)17(18)22-16-14(21-2)6-3-10(15(16)18)9-12(11)19;1-18-7-6-17-10-3-5-13(20)16(17)21-15-12(19)4-2-9(14(15)17)8-11(10)18;;;;;;;;/h5-6,9,17-18H,7-8,10H2,1-4H3;5-8,10-12H,9H2,1-4H3;3-7,12-17,20H,8-10H2,1-2H3;3-6,11-13,17,20H,7-9H2,1-2H3;2-5,10-11,13,16,19-20H,6-8H2,1H3;;;;;;;;/q;;+1;;;;;;;;;;/t17-,18+;;12?,13-,14-,15+,16-,17+;11-,12+,13-,17-,18-;10-,11+,13-,16-,17-;;;;;;;;/m1.100......../s1
InChIKey POLGVTUNTYOVKR-YMVILIOTSA-N
Market Analysis Reports
Related Products
Spartanamicin A...  dro-7,14-methano-dipyrido[1,2-a;1',2'-e][1,5]diazocine ";(+)-Sparteine;(±)-sparteine">Sparteine;"Dode...  Sparteine  Sparteine monop...  Sparteine sulfa...  (-)-Sparteine s...  Spartein-2-Ol;2...  Spartein-2-One;...  Spartein-2-One ...  Spartioidin;Spa...  Spasmolytol;2-[...  Spathulatol;(1R...  Spathulenol  Spathulin;(4-Ac...  SPD 502;2-[[[5-...  (SP-5-41)-Dichl...  (SP-4-3)-[[5-(d...  Spearmint, ext.  Spearmint oil  Special denatur...