Online Database of Chemicals from Around the World

Thymidine, 5'→P''-ester with [P''(R)]-thiotriphosphoric acid
[CAS 83199-35-3]

List of Suppliers
Alfa Chemistry USA
www.alfa-chemistry.com
+1 (201) 478-8534
+1 (516) 927-0118
inquiry@alfa-chemistry.com
Chemical distributor since 2012
chemBlink Standard supplier since 2012

Identification
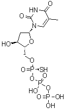
NameThymidine, 5'→P''-ester with [P''(R)]-thiotriphosphoric acid
Molecular StructureThymidine, 5'→P''-ester with [P''(R)]-thiotriphosphoric acid molecular structure (CAS 83199-35-3)
Molecular FormulaC10H17N2O13P3S
Molecular Weight498.23
CAS Registry Number83199-35-3
Properties
SolubilitySoluble (85 g/L) (25 °C), Calc.*
Density1.863±0.06 g/cm3 (20 °C 760 Torr), Calc.*
*Calculated using Advanced Chemistry Development (ACD/Labs) Software V11.02 (©1994-2016 ACD/Labs)
Market Analysis Reports
Related Products
Thymidine Bromo...  Thymidine-5'-ca...  Thymidine 3',5'...  Thymidine cycli...  Thymidine-d3  Thymidine 3',5'...  Thymidine 3',5'...  Thymidine-3',5'...  Thymidine 5'-di...  Thymidine dipho...  Thymidine Glyco...  Thymidine-8-Met...  Thymidine 5'-(4...  Thymidine 3'-(4...  Thymidine 5'-O-...  Thymidine 5'-(t...  Thymidine 5'-(t...  Thymidine 5'-O-...  Thymidine 5'-(t...  Thymidine 5'-(t...