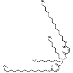
Identification
| Name |
Tetradecyl (2Z,9Z)-6,6-dioctyl-4,8,11-trioxo-5,7,12-trioxa-6-stannahexacosa-2,9-dien-1-oate |
| Synonyms |
tetradecyl (Z,Z)-6,6-dioctyl-4,8,11-trioxo-5,7,12-trioxa-6-stannahexacosa-2,9-dienoate |
|
| Molecular Structure |
 |
| Molecular Formula |
C52H96O8Sn |
| Molecular Weight |
968.02 |
| CAS Registry Number |
84029-77-6 |
| EINECS |
281-747-1 |
| SMILES |
O=C(O[Sn](CCCCCCCC)(OC(=O)\C=C/C(=O)OCCCCCCCCCCCCCC)CCCCCCCC)\C=C/C(=O)OCCCCCCCCCCCCCC |
| InChI |
1S/2C18H32O4.2C8H17.Sn/c2*1-2-3-4-5-6-7-8-9-10-11-12-13-16-22-18(21)15-14-17(19)20;2*1-3-5-7-8-6-4-2;/h2*14-15H,2-13,16H2,1H3,(H,19,20);2*1,3-8H2,2H3;/q;;;;+2/p-2/b2*15-14-;;; |
| InChIKey |
HXPRCVLFFFMBNP-POUCYOBESA-L |
|