Online Database of Chemicals from Around the World

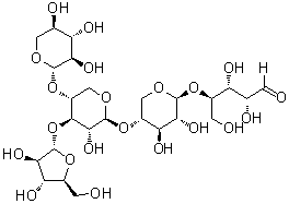
O-alpha-L-Arabinofuranosyl-(1→3)-O-[beta-D-xylopyranosyl-(1→4)]-O-beta-D-xylopyranosyl-(1→4)-O-beta-D-xylopyranosyl-(1→4)-D-xylose
[CAS 84666-93-3]

List of Suppliers
Carbosynth China Ltd. China
www.carbosynth.cn
+86 (512) 6260-5585
+86 (512) 6260-5576
sales@carbosynth.com
QQ Chat
Chemical manufacturer since 2006
chemBlink Standard supplier since 2016

Identification
NameO-alpha-L-Arabinofuranosyl-(1→3)-O-[beta-D-xylopyranosyl-(1→4)]-O-beta-D-xylopyranosyl-(1→4)-O-beta-D-xylopyranosyl-(1→4)-D-xylose
Molecular StructureO-alpha-L-Arabinofuranosyl-(1→3)-O-[beta-D-xylopyranosyl-(1→4)]-O-beta-D-xylopyranosyl-(1→4)-O-beta-D-xylopyranosyl-(1→4)-D-xylose molecular structure (CAS 84666-93-3)
Molecular FormulaC25H42O21
Molecular Weight678.59
CAS Registry Number84666-93-3
Properties
SolubilityFreely soluble (150 g/L) (25 °C), Calc.*
Density1.75±0.1 g/cm3 (20 °C 760 Torr), Calc.*
*Calculated using Advanced Chemistry Development (ACD/Labs) Software V11.02 (©1994-2016 ACD/Labs)
Market Analysis Reports
Related Products
1-{5-[(4E,20E)-...  7-(alpha-L-Arab...  1-beta-D-Arabin...  1-beta-Arabinof...  7-beta-D-Arabin...  1-beta-D-Arabin...  2-beta-Arabinof...  1-Arabinofurano...  1-beta-Arabinof...  Arabinofuranosy...  3-Arabinoglucos...  Arabinohexaose  Arabino-3-Hexul...  L-arabino-2-Hex...  D-arabino-2-Hex...  D-arabino-2-Hex...  L-Arabinoic Aci...  Arabinonate-5-P...  Arabinonic Acid  D-Arabinonic Ac...