Online Database of Chemicals from Around the World

5-Oxo-DL-proline titanium complex
[CAS 85392-57-0]

List of Suppliers
Alfa Chemistry USA
www.alfa-chemistry.com
+1 (201) 478-8534
+1 (516) 927-0118
inquiry@alfa-chemistry.com
Chemical distributor since 2012
chemBlink Standard supplier since 2012

Identification
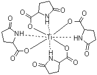
Name5-Oxo-DL-proline titanium complex
Molecular Structure5-Oxo-DL-proline titanium complex molecular structure (CAS 85392-57-0)
Molecular FormulaC20H24N4O12Ti
Molecular Weight560.29
CAS Registry Number85392-57-0
EC Number286-917-9
Market Analysis Reports
Related Products
5-Oxo-Proline M...  5-Oxo-L-proline...  5-Oxo-L-Proline...  5-Oxo-Proline 4...  5-Oxo-L-proline...  5-Oxo-L-Proline...  5-Oxo-L-Proline...  5-Oxo-DL-prolin...  5-Oxo-DL-prolin...  5-Oxo-L-proline...  5-Oxo-L-Proline...  5-Oxo-L-Proline...  5-Oxo-L-prolino...  5-Oxo-DL-Prolin...  5-Oxo-L-prolyl-...  5-Oxo-L-Prolyl-...  5-Oxo-L-prolyl-...  5-Oxo-L-prolyl-...  5-Oxo-L-prolyl-...  1-(1-(N-(N2-(1-...