Online Database of Chemicals from Around the World

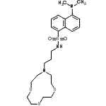
5-(Dimethylamino)-N-[3-(1,4,7-trithia-10-azacyclododecan-10-yl)propyl]-1-naphthalenesulfonamide
[CAS 868365-96-2]

Suppliers
Santa Cruz Biotechnology, Inc. USA
+1 (831) 457-3800
scbt@scbt.com
Chemical manufacturer
Sigma-Aldrich, Inc. USA
+86 (21) 6141-5566 / 800-819-3336
ordercn@sial.com,
Chemical manufacturer since 1992
Identification
Name 5-(Dimethylamino)-N-[3-(1,4,7-trithia-10-azacyclododecan-10-yl)propyl]-1-naphthalenesulfonamide
Synonyms [12]aneNS3; 10-[3-(Dansylamido)propyl]-1,4,7-trithia-10-azacyclododecane; N-[3-(1,4,7-Trithia-10-aza-10-cyclododecyl)propyl]dansylamide
Molecular Structure CAS#: 868365-96-2, 5-(Dimethylamino)-N-[3-(1,4,7-trithia-10-azacyclododecan-10-yl)propyl]-1-naphthalenesulfonamide
Molecular Formula C23H35N3O2S4
Molecular Weight 513.80
CAS Registry Number 868365-96-2
SMILES O=S(=O)(c2c1cccc(N(C)C)c1ccc2)NCCCN3CCSCCSCCSCC3
InChI 1S/C23H35N3O2S4/c1-25(2)22-8-3-7-21-20(22)6-4-9-23(21)32(27,28)24-10-5-11-26-12-14-29-16-18-31-19-17-30-15-13-26/h3-4,6-9,24H,5,10-19H2,1-2H3
InChIKey YRWREHMXXVFHIA-UHFFFAOYSA-N
Properties
Density 1.213g/cm3 (Cal.)
Boiling point 691.031°C at 760 mmHg (Cal.)
Flash point 371.723°C (Cal.)
Refractive index 1.609 (Cal.)
Market Analysis Reports
Related Products
(20S)-3beta-(Di...  2-(Dimethylamin...  5-Dimethylamino...  1-Dimethylamino...  (Z)-1-(Dimethyl...  1-Dimethylamino...  (3E)-6-(Dimethy...  5-(Dimethylamin...  (Dimethylamino)...  4-(Dimethylamin...  5-(Dimethylamin...  5-Dimethylamino...  3-[(E)-2-(Dimet...  2-[(E)-2-(Dimet...  4-Dimethylamino...  4-((4-(Dimethyl...  10-(3-(Dimethyl...  10-[3-(Dimethyl...  Di((2H3)methyl)...  Dimethylammoniu...