Online Database of Chemicals from Around the World

Liriopeside B
[CAS 87425-34-1]

List of Suppliers
Chengdu Biopurify Phytochemicals Ltd. China
www.phytopurify.com
+86 (28) 8263-3860
8263-3987
+86 (28) 8263-3165
sales@biopurify.com
biopurify@gmail.com
QQ Chat
Skype Chat
Chemical manufacturer
chemBlink Standard supplier since 2017
Neostar United (Changzhou) Industrial Co., Ltd. China
www.neostarunited.com
+86 (519) 8555-7386
+86 18015025600
+86 (519) 8555-7389
marketing1@neostarunited.com
Chemical distributor since 2014
chemBlink Standard supplier since 2020

Identification
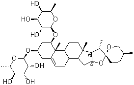
NameLiriopeside B
Synonyms(1beta,3beta,25S)-3-[(6-Deoxy-alpha-L-mannopyranosyl)oxy]spirost-5-en-1-yl 6-deoxy-beta-D-galactopyranoside; Nolinospiroside F
Molecular StructureLiriopeside B molecular structure (CAS 87425-34-1)
Molecular FormulaC39H62O12
Molecular Weight722.90
CAS Registry Number87425-34-1
EC Number813-733-3
Properties
SolubilityInsoluble (2.1E-3 g/L) (25 °C), Calc.*
Density1.34±0.1 g/cm3 (20 °C 760 Torr), Calc.*
*Calculated using Advanced Chemistry Development (ACD/Labs) Software V11.02 (©1994-2014 ACD/Labs)
Safety Data
Hazard Classification
up    Details
HazardClassCategory CodeHazard Statement
Skin sensitizationSkin Sens.1H317
SDSAvailable
Market Analysis Reports
Related Products
Liquiritin apio...  Liraglutide  Liranaftate  Lirimilast  Lirinidine  Liriodendrin  Liriodenine  Liriodenine Met...  beta-Liriodenol...  Liriope muscari...  Lirioprolioside...  Lirioresinol A  Lisavanbulin  Lisdexamfetamin...  Lisdexamfetamin...  Lisdexamphetami...  Lisicon SP 210  (S)-Lisinopril-...  Lisinopril  Lisinopril