Online Database of Chemicals from Around the World

6,7-Diaminoheptanoic acid
[CAS 875247-31-7]

Suppliers
Atomax Chemicals Co., Ltd. China
+86 13417589054/
info@atomaxchem.com,atomax.chemicals@gmail.com
QQ Chat
Chemical manufacturer
Identification
Name 6,7-Diaminoheptanoic acid
Synonyms 6,7-diaminoheptanoic acid
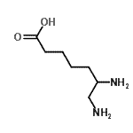
Molecular Structure CAS#: 875247-31-7, 6,7-Diaminoheptanoic acid
Molecular Formula C7H16N2O2
Molecular Weight 160.21
CAS Registry Number 875247-31-7
SMILES NC(CCCCC(O)=O)CN
InChI 1S/C7H16N2O2/c8-5-6(9)3-1-2-4-7(10)11/h6H,1-5,8-9H2,(H,10,11)
InChIKey GDGUHGLYYRTIJW-UHFFFAOYSA-N
Properties
Density 1.094g/cm3 (Cal.)
Boiling point 333.326°C at 760 mmHg (Cal.)
Flash point 155.39°C (Cal.)
Refractive index 1.5 (Cal.)
Market Analysis Reports
Related Products
(2S,6R)-2,6-dia...  (2R,6R)-rel-2,6...  2,6-Diaminohept...  (2R,6S)-rel-2,6...  (2R)-2,7-Diamin...  3,4-Diaminohept...  5,6-Diaminohept...  2,7-Diaminohept...  (2S)-2,6-Diamin...  (2R)-2,6-Diamin...  3,7-Diaminohept...  (3S)-3,7-Diamin...  (2S)-2,7-Diamin...  (S)-3,7-Diamino...  2,5-Diamino-6-H...  (S)-2,6-Diamino...  (2S)-2-[[4-(1,3...  (3R)-3,6-Diamin...  (2R)-2,6-Diamin...  1,6-Diaminohexa...