Online Database of Chemicals from Around the World

Helospectin I
[CAS 93438-37-0]

Suppliers
Alfa Chemistry USA
+1 (201) 478-8534
inquiry@alfa-chemistry.com
Chemical distributor since 2012
chemBlink standard supplier since 2012
BOC Sciences USA
+1 (631) 485-4226
info@bocsci.com
Skype Chat
Chemical distributor
chemBlink massive supplier since 2012
LKT Laboratories, Inc. USA
+1 (888) 558-5227
peacerli@mbolin-lktlabs.com
Chemical manufacturer
Identification
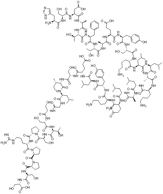
Name Helospectin I
Synonyms Helospectin I
Molecular Structure CAS#: 93438-37-0, Helospectin I
Molecular Formula C183H293N47O59
Molecular Weight 4095.61
CAS Registry Number 93438-37-0
SMILES [C@@H](CC)(C)[C@H](NC(=O)[C@H](CO)NC(=O)[C@H](CCC(O)=O)NC(=O)[C@H](CC(C)C)NC(=O)[C@H](CC1=CC=C(O)C=C1)NC(=O)[C@H](CCCCN)NC(=O)[C@H](CCC(N)=O)NC(=O)[C@H](CC(C)C)NC(=O)[C@H](C)NC(=O)[C@H](CC(C)C)NC(=O)[C@H](CCCCN)NC(=O)[C@H](C)NC(=O)[C@H](CC(C)C)NC(=O)[C@H](CC(C)C)NC(=O)[C@H](CCCCN)NC(=O)[C@H](CO)NC(=O)[C@H](CC2=CC=C(O)C=C2)NC(=O)[C@H](CCC(O)=O)NC(=O)[C@H](C)NC(=O)[C@@H](NC(=O)[C@H](CC3=CC=CC=C3)NC(=O)[C@@H](NC(=O)[C@H](C)NC(=O)[C@H](CC(O)=O)NC(=O)[C@H](CO)NC(=O)[C@@H](N)CC4=CN=C[NH]4)[C@@H](C)O)[C@@H](C)O)C(=O)N[C@@H](CC(C)C)C(=O)NCC(=O)N[C@@H](CO)C(=O)N[C@@H](CO)C(=O)N[C@@H]([C@@H](C)O)C(=O)N[C@@H](CO)C(=O)N5CCC[C@H]5C(=O)N[C@@H](CCCNC(N)=N)C(=O)N6CCC[C@H]6C(=O)N7CCC[C@H]7C(=O)N[C@@H](CO)C(=O)N[C@@H](CO)C(O)=O
InChI 1S/C183H293N47O59/c1-22-94(14)142(175(281)215-116(66-88(2)3)151(257)193-78-138(245)199-126(79-231)167(273)220-131(84-236)172(278)227-145(101(21)241)178(284)222-132(85-237)180(286)228-63-33-42-134(228)173(279)206-115(41-32-62-192-183(189)190)179(285)230-65-35-44-136(230)181(287)229-64-34-43-135(229)174(280)221-129(82-234)170(276)223-133(86-238)182(288)289)224-171(277)130(83-235)218-157(263)114(55-58-140(248)249)205-162(268)120(70-92(10)11)211-164(270)122(73-103-45-49-106(242)50-46-103)212-154(260)110(39-27-30-60-185)202-155(261)112(53-56-137(188)244)204-161(267)119(69-91(8)9)207-148(254)96(16)196-158(264)117(67-89(4)5)208-152(258)109(38-26-29-59-184)200-146(252)95(15)195-159(265)118(68-90(6)7)210-163(269)121(71-93(12)13)209-153(259)111(40-28-31-61-186)203-168(274)128(81-233)219-165(271)123(74-104-47-51-107(243)52-48-104)213-156(262)113(54-57-139(246)247)201-147(253)97(17)198-176(282)143(99(19)239)226-166(272)124(72-102-36-24-23-25-37-102)216-177(283)144(100(20)240)225-149(255)98(18)197-160(266)125(76-141(250)251)214-169(275)127(80-232)217-150(256)108(187)75-105-77-191-87-194-105/h23-25,36-37,45-52,77,87-101,108-136,142-145,231-243H,22,26-35,38-44,53-76,78-86,184-187H2,1-21H3,(H2,188,244)(H,191,194)(H,193,257)(H,195,265)(H,196,264)(H,197,266)(H,198,282)(H,199,245)(H,200,252)(H,201,253)(H,202,261)(H,203,274)(H,204,267)(H,205,268)(H,206,279)(H,207,254)(H,208,258)(H,209,259)(H,210,269)(H,211,270)(H,212,260)(H,213,262)(H,214,275)(H,215,281)(H,216,283)(H,217,256)(H,218,263)(H,219,271)(H,220,273)(H,221,280)(H,222,284)(H,223,276)(H,224,277)(H,225,255)(H,226,272)(H,227,278)(H,246,247)(H,248,249)(H,250,251)(H,288,289)(H4,189,190,192)/t94-,95-,96-,97-,98-,99+,100+,101+,108-,109-,110-,111-,112-,113-,114-,115-,116-,117-,118-,119-,120-,121-,122-,123-,124-,125-,126-,127-,128-,129-,130-,131-,132-,133-,134-,135-,136-,142-,143-,144-,145-/m0/s1
InChIKey HTMVMVKJOPFRMK-OYZAELBCSA-N
Market Analysis Reports
Related Products
Helioxanthin;10...  Helium;Atomic h...  Helium mixt. wi...  Helium, mixt. w...  Hellebrigenin g...  Hellebrigeninmo...  Hellebrin;3-[3,...  Helminthosporin...  Helminthosporol...  Helodermin;HIS-...  Helospectin II;...  Helveticin J  Hem-2G;Hem-2G  Hemanthidine;Ha...  Hemapolin;(2alp...  Hematein;Kbiogr...  Hematin;Heme B;...  Hematinic Acid;...  Hematite;Iron(I...  Hematite, chrom...