Online Database of Chemicals from Around the World

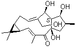
[1aR-(1aR*,2E,4aR*,6S*,7S*,7aS*,8S*,9Z,11aS*)]-1,1a,4a,5,6,7,7a,8,11,11a-Decahydro-4a,7,8-trihydroxy-9-(hydroxymethyl)-1,1,3,6-tetramethyl-4H-cyclopenta[a]cyclopropa[f]cycloundecen-4-one
[CAS 93551-00-9]

List of Suppliers
Chengdu Biopurify Phytochemicals Ltd. China
www.phytopurify.com
+86 (28) 8263-3860
8263-3987
+86 (28) 8263-3165
sales@biopurify.com
biopurify@gmail.com
QQ Chat
Skype Chat
Chemical manufacturer
chemBlink Standard supplier since 2017
Neostar United (Changzhou) Industrial Co., Ltd. China
www.neostarunited.com
+86 (519) 8555-7386
+86 18015025600
+86 (519) 8555-7389
marketing1@neostarunited.com
Chemical distributor since 2014
chemBlink Standard supplier since 2020

Identification
Name[1aR-(1aR*,2E,4aR*,6S*,7S*,7aS*,8S*,9Z,11aS*)]-1,1a,4a,5,6,7,7a,8,11,11a-Decahydro-4a,7,8-trihydroxy-9-(hydroxymethyl)-1,1,3,6-tetramethyl-4H-cyclopenta[a]cyclopropa[f]cycloundecen-4-one
Molecular Structure[1aR-(1aR*,2E,4aR*,6S*,7S*,7aS*,8S*,9Z,11aS*)]-1,1a,4a,5,6,7,7a,8,11,11a-Decahydro-4a,7,8-trihydroxy-9-(hydroxymethyl)-1,1,3,6-tetramethyl-4H-cyclopenta[a]cyclopropa[f]cycloundecen-4-one molecular structure (CAS 93551-00-9)
Molecular FormulaC20H30O5
Molecular Weight350.45
CAS Registry Number93551-00-9
Properties
SolubilityPractically insoluble (0.095 g/L) (25 °C), Calc.*
Density1.208±0.06 g/cm3 (20 °C 760 Torr), Calc.*
*Calculated using Advanced Chemistry Development (ACD/Labs) Software V11.02 (©1994-2016 ACD/Labs)
Safety Data
SDSAvailable
Market Analysis Reports
Related Products
(3R,6aalpha)-De...  Decahydro-2,5,5...  Decahydro-2,5,5...  (2aS,5aS,8aR,8b...  Decahydro-2,2,5...  1a,2,3,6,7,9,10...  7-((Decahydro-1...  Decahydro-2,2,5...  decahydro(trifl...  (6aR*,8E,11aS*,...  (1a,4a,4aa,5b,8...  Decahydro-4B,6,...  (3R,5aS,6R,8aS,...  (1R-(1alpha,4be...  Decahydro-1,1,7...  [1S-(1alpha,3ab...  [1S-(1alpha,3ab...  [1S-(1alpha,3ab...  Decahydro-3,3,4...  Decahydro-6,9,9...