Online Database of Chemicals from Around the World

Bis(N-acetyl-L-tryptophanato-O,ON)hydroxyaluminum
[CAS 94277-56-2]

List of Suppliers
Alfa Chemistry USA
www.alfa-chemistry.com
+1 (201) 478-8534
+1 (516) 927-0118
inquiry@alfa-chemistry.com
Chemical distributor since 2012
chemBlink Standard supplier since 2012

Identification
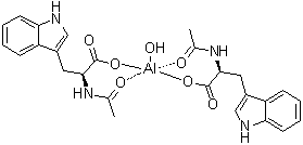
NameBis(N-acetyl-L-tryptophanato-O,ON)hydroxyaluminum
Molecular StructureBis(N-acetyl-L-tryptophanato-O,ON)hydroxyaluminum molecular structure (CAS 94277-56-2)
Molecular FormulaC26H27AlN4O7
Molecular Weight534.50
CAS Registry Number94277-56-2
EC Number304-640-4
Market Analysis Reports
Related Products
3,21-Bis(acetyl...  1,3-Bis(Acetylo...  3',6'-Bis(Acety...  (1S,4aR,6S,6aR,...  (1R,2R)-rel-1,2...  4-(2,5-Bis(acet...  1,3-Bis(4-Acety...  4,4-Bis(Acetyls...  S-[3-[3,5-Bis(3...  (1a,7a,17b)-1,7...  Bisacodyl  Bis[3-(acridin-...  N,N'-Bis(9-Acri...  1,7-Bis(9-acrid...  Bis((9-Acridiny...  N,N-Bisacrylami...  3,8-Bis(Acryloy...  1,3-Bis(Acryloy...  N,N'-Bis(Acrylo...  2,5-Bis[4-(acry...