Online Database of Chemicals from Around the World

SM 164
[CAS 957135-43-2]

List of Suppliers
BOC Sciences USA
www.bocsci.com
+1 (631) 485-4226
+1 (631) 614-7828
info@bocsci.com
Chemical manufacturer
chemBlink Standard supplier since 2010
Apexbio Technology LLC USA
www.apexbt.com
+1 (832) 696-8203
+1 (855) 527-3928
info@apexbt.com
Chemical manufacturer since 2012
chemBlink Standard supplier since 2013

Identification
ClassificationAPI >> Other chemicals
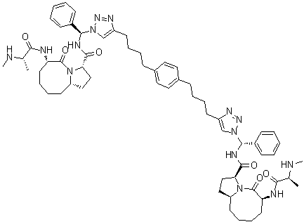
NameSM 164
Synonyms(3S,3'S,6S,6'S,10aS,10'aS)-N,N'-[1,4-Phenylenebis[4,1-butanediyl-1H-1,2,3-triazole-1,4-diyl[(S)-phenylmethylene]]]bis[decahydro-6-[[(2S)-2-(methylamino)-1-oxopropyl]amino]-5-oxo-pyrrolo[1,2-a]azocine-3-carboxamide; SM 164 (pharmaceutical)
Molecular StructureSM 164 molecular structure (CAS 957135-43-2)
Molecular FormulaC62H84N14O6
Molecular Weight1121.42
CAS Registry Number957135-43-2
Properties
SolubilityPractically insoluble (0.01 g/L) (25 °C), Calc.*
Density1.33±0.1 g/cm3 (20 °C 760 Torr), Calc.*
*Calculated using Advanced Chemistry Development (ACD/Labs) Software V11.02 (©1994-2016 ACD/Labs)
Safety Data
SDSAvailable
Market Analysis Reports
Related Products
SL-89.0591  SL-T3  SL 327  Slaframine  Slags, Aluminum...  delta Sleep-Ind...  Slimes and Slud...  SLR080811 HCl  Slu-PP-332  SLV 320  SM 406  Smac Inhibitor ...  SMAC Inhibitor ...  Smectite clay m...  Smenospongine  Smilagenin  Smilagenin Acet...  Smilagenin 3-O-...  SMND-309  Smyrindioloside