Online Database of Chemicals from Around the World

Forsythin
[CAS 96420-61-0]

List of Suppliers
Chengdu Biopurify Phytochemicals Ltd. China
www.phytopurify.com
+86 (28) 8263-3860
8263-3987
+86 (28) 8263-3165
sales@biopurify.com
biopurify@gmail.com
QQ Chat
Skype Chat
Chemical manufacturer
chemBlink Standard supplier since 2017

Identification
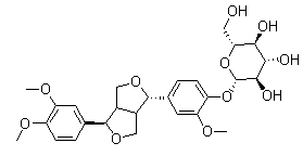
NameForsythin
Molecular StructureForsythin molecular structure (CAS 96420-61-0)
Molecular FormulaC27H34O11
Molecular Weight534.56
CAS Registry Number96420-61-0
Properties
Melting point181 °C*
*Kunimine, Senkichi
Market Analysis Reports
Related Products
Forphenicine  Forphenicinol  Forrestin A  Forskolin  Forskolin  Forskolin G  Forskolin J  7-Forskolinyl-2...  Forsythin  Forsythin  Forsythoside A  Forsythoside B  Forsythoside E  Forsythoside F  Forsythoside H  Fortical  Fortimicin  Fortimicin B  Fortuneine  Forxiga