Online Database of Chemicals from Around the World

Dihematoporphyrin Ether
[CAS 97067-70-4]

Suppliers
CAS#: 97067-70-4
Product: Dihematoporphyrin Ether
No suppilers available for the product.
Identification
Name Dihematoporphyrin Ether
Synonyms Porfimer; 21H,23H-Porphine-2,18-Dipropanoic Acid, 7-(1-(1-(8,12-Bis(2-Carboxyethyl)-17-(1-Hydroxyethyl)-3,7,13,18-Tetramethyl-21H,23H-Porphin-2-Yl)Ethoxy)Ethyl)-12-(1-Hydroxyethyl)-3,8,13,17-Tetramethyl-; Dihematoporphyrin Ether
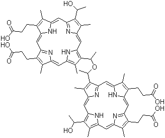
Molecular Structure CAS#: 97067-70-4, Dihematoporphyrin Ether
Molecular Formula C68H74N8O11
Molecular Weight 1179.38
CAS Registry Number 97067-70-4
SMILES C(C1=C(C3=NC1=CC%10=NC(=CC2=C(C(=C([NH]2)C=C4[NH]C(=C3)C(=C4C)C(OC(C5=C7[NH]C(=C5C)C=C6N=C(C(=C6C)CCC(O)=O)C=C9N=C(C=C8[NH]C(=C7)C(=C8C(O)C)C)C(=C9CCC(O)=O)C)C)C)C(O)C)C)C(=C%10CCC(O)=O)C)C)CC(O)=O
InChI 1S/C68H74N8O11/c1-29-41(13-17-61(79)80)53-28-56-44(16-20-64(85)86)32(4)48(72-56)24-59-68(36(8)52(76-59)25-58-65(37(9)77)33(5)49(73-58)21-45(29)69-53)40(12)87-39(11)67-35(7)50-22-46-30(2)42(14-18-62(81)82)54(70-46)27-55-43(15-19-63(83)84)31(3)47(71-55)23-5
InChIKey UZFPOOOQHWICKY-UHFFFAOYSA-N
Properties
Density 1.326g/cm3 (Cal.)
Market Analysis Reports
Related Products
Digoxin-phospha...  Digoxin, Tetraa...  1,4-Diguanidino...  Diguanosine Pen...  Diguanosine 5',...  DIGUANOSINE TRI...  1,3''-Di-HABA K...  1,6'-Di-HABA Ka...  1,3-Di-HABA Kan...  3,5-Dihdyroxyph...  1,2-Di-(Heptaco...  1,2-Diheptadeca...  1,2-Diheptadeca...  20,21-Di-8-hept...  Diheptadecyl Ad...  [(2S)-2,3-Di(He...  1,4-Diheptanoyl...  1,2-Diheptanoyl...  1,4-Diheptoxy-2...  Diheptylacetic ...