Online Database of Chemicals from Around the World

Cyclo(Glycyl-Prolyl-psi(CH2S)-Glycyl-Phenylalanyl-Prolyl)
[CAS 99781-72-3]

Suppliers
CAS#: 99781-72-3
Product: Cyclo(Glycyl-Prolyl-psi(CH2S)-Glycyl-Phenylalanyl-Prolyl)
No suppilers available for the product.
Identification
Name Cyclo(Glycyl-Prolyl-psi(CH2S)-Glycyl-Phenylalanyl-Prolyl)
Synonyms Cyclo(Gly-Pro-Psi(Ch2s)-Gly-Phe-Pro); Cyclo(Glycyl-Prolyl-Psi(Ch2s)-Glycyl-Phenylalanyl-Prolyl)
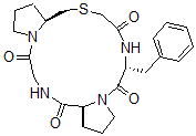
Molecular Structure CAS#: 99781-72-3, Cyclo(Glycyl-Prolyl-psi(CH2S)-Glycyl-Phenylalanyl-Prolyl)
Molecular Formula C23H30N4O4S
Molecular Weight 458.57
CAS Registry Number 99781-72-3
SMILES [C@@H]14N(C(=O)[C@H](NC(=O)CSC[C@H]2N(C(=O)CNC1=O)CCC2)CC3=CC=CC=C3)CCC4
InChI 1S/C23H30N4O4S/c28-20-15-32-14-17-8-4-10-26(17)21(29)13-24-22(30)19-9-5-11-27(19)23(31)18(25-20)12-16-6-2-1-3-7-16/h1-3,6-7,17-19H,4-5,8-15H2,(H,24,30)(H,25,28)/t17-,18+,19-/m0/s1
InChIKey RNWWSUSCMPZMOH-OTWHNJEPSA-N
Properties
Density 1.339g/cm3 (Cal.)
Boiling point 827.907°C at 760 mmHg (Cal.)
Flash point 454.502°C (Cal.)
Market Analysis Reports
Related Products
Cyclo(L-glutami...  Cyclo(Glutamyl-...  Cyclo(glutamyl-...  Cyclo(glycyl-L-...  Cyclo(glycyl-ar...  Cyclo(glycyl-L-...  Cyclo(glycyl-L-...  Cyclo(glycyl-L-...  Cyclo(glycyl-L-...  Cyclo(glycyl-L-...  Cyclo(glycyl-L-...  Cyclo(glycyl-L-...  Cyclo(glycyl-ty...  Cyclo(Glycyl-L-...  Cyclogrifolin  Cycloguanide Ph...  Cycloguanil;[4-...  Cycloguanil;4-[...  Cycloguanil hyd...  Cycloguanil Nit...