Online Database of Chemicals from Around the World

alpha-D-Galacto-beta-D-mannan acetate
[CAS 110865-83-3]

Suppliers
CAS#: 110865-83-3
Product: alpha-D-Galacto-beta-D-mannan acetate
No suppilers available for the product.
Identification
Name alpha-D-Galacto-beta-D-mannan acetate
Synonyms Acemannan; Acemannan [Usan:Inn]; Acemannan Hydrogel
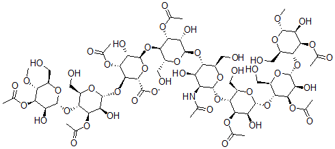
Molecular Structure CAS#: 110865-83-3, alpha-D-Galacto-beta-D-mannan acetate
Molecular Formula C66H100NO49
Molecular Weight 1691.49
CAS Registry Number 110865-83-3
SMILES [C@H]8(O[C@H]2O[C@@H]([C@@H](O[C@H]1O[C@@H]([C@@H](OC)[C@H](OC(=O)C)[C@@H]1O)CO)[C@H](OC(=O)C)[C@@H]2O)CO)[C@H](OC(=O)C)[C@H](O)[C@@H](O[C@H]7[C@H](OC(=O)C)[C@H](O)[C@@H](O[C@H]6[C@H](O)[C@H](NC(=O)C)[C@@H](O[C@H]5[C@H](OC(=O)C)[C@H](O)[C@@H](O[C@H]3[C@H](OC(=O)C)[C@H](O)[C@H](O[C@@H]3CO)O[C@H]4[C@H](OC(=O)C)[C@H](O)[C@H](O[C@@H]4CO)OC)O[C@@H]5CO)O[C@@H]6CO)O[C@@H]7CO)O[C@@H]8C([O-])=O
InChI 1S/C66H101NO49/c1-18(75)67-33-34(83)42(26(11-68)102-59(33)110-44-29(14-71)106-63(38(87)51(44)97-21(4)78)113-46-30(15-72)107-64(39(88)53(46)99-23(6)80)111-45-28(13-70)103-60(94-10)35(84)50(45)96-20(3)77)109-61-37(86)52(98-22(5)79)48(32(17-74)105-61)114-66-41(90)55(101-25(8)82)56(57(116-66)58(91)92)115-65-40(89)54(100-24(7)81)47(31(16-73)108-65)112-62-36(85)49(95-19(2)76)43(93-9)27(12-69)104-62/h26-57,59-66,68-74,83-90H,11-17H2,1-10H3,(H,67,75)(H,91,92)/p-1/t26-,27-,28-,29-,30-,31-,32-,33+,34-,35+,36+,37+,38+,39+,40+,41+,42-,43-,44-,45-,46-,47-,48-,49-,50-,51-,52-,53-,54-,55-,56+,57+,59-,60+,61-,62-,63-,64-,65-,66+/m1/s1
InChIKey XOYXESIZZFUVRD-UVSAJTFZSA-M
Properties
Boiling point 1521.136°C at 760 mmHg (Cal.)
Flash point 873.751°C (Cal.)
Market Analysis Reports
Related Products
D-Galacto-L-ara...  D-Galacto-L-Ara...  Galactocerebros...  Galacto-6-deoxy...  D-Galactofurano...  beta-D-Galactof...  O-beta-D-Galact...  2-[(4aR,6R)-6-{...  N-beta-D-Galact...  alpha-D-Galacto...  Galactomannanas...  D-Galactonic Ac...  D-Galactono-1,4...  Galacto-PUGNAc  D-Galactopyrano...  beta-D-Galactop...  alpha-D-Galacto...  alpha-D-Galacto...  alpha-D-Galacto...  D-Galactopyrano...