Online Database of Chemicals from Around the World

(3beta,16alpha,20beta)-3-((O-6-Deoxy-alpha-L-Mannopyranosyl-(1-2)-O-beta-D-Glucopyranosyl-(1-2)-O-(beta-D-Glucopyranosyl-(1-3))-beta-D-Glucopyranosyl)Oxy)-13,28-Epoxy-16-Hydroxyoleanan-29-Al
[CAS 112468-35-6]

Suppliers
CAS#: 112468-35-6
Product: (3beta,16alpha,20beta)-3-((O-6-Deoxy-alpha-L-Mannopyranosyl-(1-2)-O-beta-D-Glucopyranosyl-(1-2)-O-(beta-D-Glucopyranosyl-(1-3))-beta-D-Glucopyranosyl)Oxy)-13,28-Epoxy-16-Hydroxyoleanan-29-Al
No suppilers available for the product.
Identification
Name (3beta,16alpha,20beta)-3-((O-6-Deoxy-alpha-L-Mannopyranosyl-(1-2)-O-beta-D-Glucopyranosyl-(1-2)-O-(beta-D-Glucopyranosyl-(1-3))-beta-D-Glucopyranosyl)Oxy)-13,28-Epoxy-16-Hydroxyoleanan-29-Al
Synonyms 3-((O-6-Decoxy-Alpha-L-Mannopyranosyl-(1-2)-O-Beta-D-Glucopyranosyl-(1-2)-O-(Beta-D-Glucopyranosyl-(1-3))-Beta-D-Glucopyranosyl)Oxy)-13,28-Epoxy-16-Hydroxyoleanan-29-Al (3Beta,16Alpha,20Beta)-; Oleanan-29-Al, 3-((O-6-Decoxy-Alpha-L-Mannopyranosyl-(1-2)-O-Beta-D-Glucopyranosyl-(1-2)-O-(Beta-D-Glucopyranosyl-(1-3))-Beta-D-Glucopyranosyl)Oxy)-13,28-Epoxy-16-Hydroxy-, (3Beta,16Alpha,20Beta)-
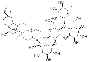
Molecular Structure CAS#: 112468-35-6, (3beta,16alpha,20beta)-3-((O-6-Deoxy-alpha-L-Mannopyranosyl-(1-2)-O-beta-D-Glucopyranosyl-(1-2)-O-(beta-D-Glucopyranosyl-(1-3))-beta-D-Glucopyranosyl)Oxy)-13,28-Epoxy-16-Hydroxyoleanan-29-Al
Molecular Formula C54H88O23
Molecular Weight 1105.28
CAS Registry Number 112468-35-6
SMILES [C@@]34(C1(OCC2([C@@H]1C[C@@](CC2)(C=O)C)[C@H](O)C3)CC[C@H]5[C@]4(CCC%10[C@@]5(CC[C@H](O[C@H]8O[C@@H]([C@@H](O[C@@H]6O[C@H]([C@H](O)[C@@H](O)[C@H]6O)C)[C@H](O[C@H]7O[C@@H]([C@@H](O)[C@H](O)[C@H]7O)CO)[C@H]8O[C@@H]9O[C@@H]([C@@H](O)[C@H](O)[C@H]9O)CO)CO)C%10(C)C)C)C)C
InChI 1S/C54H88O23/c1-23-32(60)35(63)38(66)44(70-23)75-41-26(20-57)73-47(43(77-46-40(68)37(65)34(62)25(19-56)72-46)42(41)76-45-39(67)36(64)33(61)24(18-55)71-45)74-31-10-11-50(5)27(48(31,2)3)8-12-51(6)28(50)9-13-54-29-16-49(4,21-58)14-15-53(29,22-69-54)30(59)17-52(51,54)7/h21,23-47,55-57,59-68H,8-20,22H2,1-7H3/t23-,24+,25+,26+,27?,28+,29-,30+,31-,32-,33+,34+,35+,36-,37-,38+,39+,40+,41+,42-,43+,44-,45+,46-,47+,49+,50-,51+,52-,53?,54?/m0/s1
InChIKey IFUZRXARAGLJFJ-GTLZPBAUSA-N
Properties
Density 1.481g/cm3 (Cal.)
Market Analysis Reports
Related Products
6-Deoxy-L-Manno...  3-Deoxy-D-manno...  3-Deoxy-D-manno...  3-Deoxy-D-manno...  6-Deoxy-alpha-L...  6-Deoxy-beta-L-...  6-Deoxy-alpha-L...  6-Deoxy-Mannopy...  4-[(6-Deoxy-alp...  2-O-(6-Deoxy-al...  3-((O-6-Deoxy-a...  3-[(O-6-Deoxy-a...  3-[[6-O-(6-Deox...  (2S)-7-[[6-O-(6...  (2S)-7-[[6-O-(6...  7-[[6-O-(6-Deox...  7-[[2-O-(6-Deox...  3-[[6-O-(6-Deox...  3-[[6-O-(6-Deox...  3-((2-O-(6-Deox...