Online Database of Chemicals from Around the World

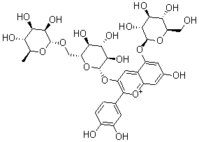
3-[[6-O-(6-Deoxy-alpha-L-Mannopyranosyl)-beta-D-Glucopyranosyl]Oxy]-2-(3,4-Dihydroxyphenyl)-5-(beta-D-Glucopyranosyloxy)-7-Hydroxy-1-Benzopyrylium
[CAS 135558-26-8]

Suppliers
BOC Sciences USA
+1 (631) 485-4226
info@bocsci.com
Skype Chat
Chemical distributor
chemBlink massive supplier since 2012
Identification
Name 3-[[6-O-(6-Deoxy-alpha-L-Mannopyranosyl)-beta-D-Glucopyranosyl]Oxy]-2-(3,4-Dihydroxyphenyl)-5-(beta-D-Glucopyranosyloxy)-7-Hydroxy-1-Benzopyrylium
Synonyms (2S,3R,4S,5S,6R)-2-[2-(3,4-Dihydroxyphenyl)-7-Hydroxy-5-[(2S,3R,4S,5S,6R)-3,4,5-Trihydroxy-6-(Hydroxymethyl)Tetrahydropyran-2-Yl]Oxy-Chromenylium-3-Yl]Oxy-6-[[(2R,3R,4R,5R,6S)-3,4,5-Trihydroxy-6-Methyl-Tetrahydropyran-2-Yl]Oxymethyl]Tetrahydropyran-3,4,5-Triol; (2S,3R,4S,5S,6R)-2-[[2-(3,4-Dihydroxyphenyl)-7-Hydroxy-5-[[(2S,3R,4S,5S,6R)-3,4,5-Trihydroxy-6-(Hydroxymethyl)-2-Tetrahydropyranyl]Oxy]-3-Chromenyliumyl]Oxy]-6-[[(2R,3R,4R,5R,6S)-3,4,5-Trihydroxy-6-Methyl-2-Tetrahydropyranyl]Oxymethyl]Tetrahydropyran-3,4,5-Triol; (2S,3R,4S,5S,6R)-2-[[2-(3,4-Dihydroxyphenyl)-7-Hydroxy-5-[(2S,3R,4S,5S,6R)-3,4,5-Trihydroxy-6-Methylol-Tetrahydropyran-2-Yl]Oxy-1-Benzopyrylium-3-Yl]Oxy]-6-[[(2R,3R,4R,5R,6S)-3,4,5-Trihydroxy-6-Methyl-Tetrahydropyran-2-Yl]Oxymethyl]Tetrahydropyran-3,4,5-Triol
Molecular Structure CAS#: 135558-26-8, 3-[[6-O-(6-Deoxy-alpha-L-Mannopyranosyl)-beta-D-Glucopyranosyl]Oxy]-2-(3,4-Dihydroxyphenyl)-5-(beta-D-Glucopyranosyloxy)-7-Hydroxy-1-Benzopyrylium
Molecular Formula C33H41O20
Molecular Weight 757.67
CAS Registry Number 135558-26-8
SMILES [O+]1=C5C(=CC(=C1C2=CC(=C(C=C2)O)O)O[C@H]3[C@@H]([C@@H](O)[C@@H]([C@H](O3)CO[C@H]4[C@@H]([C@H](O)[C@H]([C@@H](O4)C)O)O)O)O)C(=CC(=C5)O)O[C@H]6[C@@H]([C@@H](O)[C@@H]([C@H](O6)CO)O)O
InChI 1S/C33H40O20/c1-10-21(38)24(41)27(44)31(48-10)47-9-20-23(40)26(43)29(46)33(53-20)51-18-7-13-16(49-30(18)11-2-3-14(36)15(37)4-11)5-12(35)6-17(13)50-32-28(45)25(42)22(39)19(8-34)52-32/h2-7,10,19-29,31-34,38-46H,8-9H2,1H3,(H2-,35,36,37)/p+1/t10-,19+,20+,21-,22+,23+,24+,25-,26-,27+,28+,29+,31+,32+,33+/m0/s1
InChIKey DFJZNAHUOVEDQB-HWKLKBEVSA-O
Market Analysis Reports
Related Products
2-O-(6-Deoxy-al...  (3beta,16alpha,...  3-((O-6-Deoxy-a...  3-[(O-6-Deoxy-a...  3-[[6-O-(6-Deox...  (2S)-7-[[6-O-(6...  (2S)-7-[[6-O-(6...  7-[[6-O-(6-Deox...  7-[[2-O-(6-Deox...  3-[[6-O-(6-Deox...  3-((2-O-(6-Deox...  3-[[6-O-(6-Deox...  (3beta,5alpha,1...  5-[[2-O-(6-Deox...  1-((5-(7-((6-O-...  2-[4-[[2-O-(6-D...  3-[4-[[2-O-(6-D...  6-O-(6-Deoxy-al...  4-[(6-Deoxy-alp...  3-((6-Deoxy-alp...