Online Database of Chemicals from Around the World

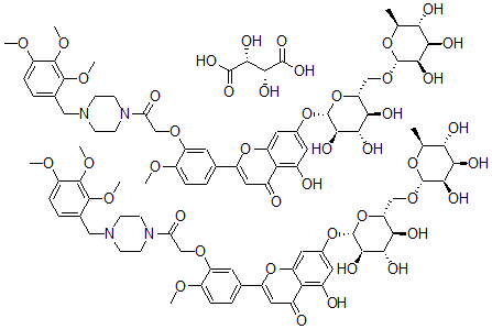
1-((5-(7-((6-O-(6-deoxy-alpha-L-mannopyranosyl)-beta-D-glucopyranosyl)oxy)-5-hydroxy-4-oxo-4H-1-benzopyran-2-yl)-2-methoxyphenoxy)acetyl)-4-((2,3,4-trimethoxyphenyl)methyl)-Piperazine (R-(R*,R*))-2,3-dihydroxybutanedioic acid (2:1) (salt)
[CAS 123580-52-9]

Suppliers
CAS#: 123580-52-9
Product: 1-((5-(7-((6-O-(6-deoxy-alpha-L-mannopyranosyl)-beta-D-glucopyranosyl)oxy)-5-hydroxy-4-oxo-4H-1-benzopyran-2-yl)-2-methoxyphenoxy)acetyl)-4-((2,3,4-trimethoxyphenyl)methyl)-Piperazine (R-(R*,R*))-2,3-dihydroxybutanedioic acid (2:1) (salt)
No suppilers available for the product.
Identification
Name 1-((5-(7-((6-O-(6-deoxy-alpha-L-mannopyranosyl)-beta-D-glucopyranosyl)oxy)-5-hydroxy-4-oxo-4H-1-benzopyran-2-yl)-2-methoxyphenoxy)acetyl)-4-((2,3,4-trimethoxyphenyl)methyl)-Piperazine (R-(R*,R*))-2,3-dihydroxybutanedioic acid (2:1) (salt)
Synonyms 5-Hydroxy-2-[3-[2-Keto-2-[4-(2,3,4-Trimethoxybenzyl)Piperazin-1-Yl]Ethoxy]-4-Methoxy-Phenyl]-7-[(2S,3R,4S,5S,6R)-3,4,5-Trihydroxy-6-[[(2R,3R,4R,5R,6S)-3,4,5-Trihydroxy-6-Methyl-Tetrahydropyran-2-Yl]Oxymethyl]Tetrahydropyran-2-Yl]Oxy-Chromone; 5-Hydroxy-2-[3-[2-Keto-2-[4-(2,3,4-Trimethoxybenzyl)Piperazin-1-Yl]Ethoxy]-4-Methoxy-Phenyl]-7-[(2S,3R,4S,5S,6R)-3,4,5-Trihydroxy-6-[[(2R,3R,4R,5R,6S)-3,4,5-Trihydroxy-6-Methyl-Tetrahydropyran-2-Yl]Oxymethyl]Tetrahydropyran-2-Yl]Oxy-Chromone; Tartaric Acid; (2R,3R)-2,3-Dihydroxybutanedioic Acid; 5-Hydroxy-2-[4-Methoxy-3-[2-Oxo-2-[4-[(2,3,4-Trimethoxyphenyl)Methyl]Piperazin-1-Yl]Ethoxy]Phenyl]-7-[(2S,3R,4S,5S,6R)-3,4,5-Trihydroxy-6-[[(2R,3R,4R,5R,6S)-3,4,5-Trihydroxy-6-Methyl-Oxan-2-Yl]Oxymethyl]Oxan-2-Yl]Oxy-Chromen-4-One; 5-Hydroxy-2-[4-Methoxy-3-[2-Oxo-2-[4-[(2,3,4-Trimethoxyphenyl)Methyl]Piperazin-1-Yl]Ethoxy]Phenyl]-7-[(2S,3R,4S,5S,6R)-3,4,5-Trihydroxy-6-[[(2R,3R,4R,5R,6S)-3,4,5-Trihydroxy-6-Methyl-Oxan-2-Yl]Oxymethyl]Oxan-2-Yl]Oxy-Chromen-4-One
Molecular Structure CAS#: 123580-52-9, 1-((5-(7-((6-O-(6-deoxy-alpha-L-mannopyranosyl)-beta-D-glucopyranosyl)oxy)-5-hydroxy-4-oxo-4H-1-benzopyran-2-yl)-2-methoxyphenoxy)acetyl)-4-((2,3,4-trimethoxyphenyl)methyl)-Piperazine (R-(R*,R*))-2,3-dihydroxybutanedioic acid (2:1) (salt)
Molecular Formula C92H114N4O44
Molecular Weight 1979.91
CAS Registry Number 123580-52-9
SMILES [C@@H]6(OC1=CC(=C2C(=C1)OC(=CC2=O)C3=CC=C(OC)C(=C3)OCC(=O)N5CCN(CC4=CC=C(OC)C(=C4OC)OC)CC5)O)O[C@@H]([C@@H](O)[C@H](O)[C@H]6O)CO[C@@H]7O[C@H]([C@H](O)[C@@H](O)[C@H]7O)C.[C@@H]%13(OC8=CC(=C9C(=C8)OC(=CC9=O)C%10=CC=C(OC)C(=C%10)OCC(=O)N%12CCN(CC%11=CC=C(OC)C(=C%11OC)OC)CC%12)O)O[C@@H]([C@@H](O)[C@H](O)[C@H]%13O)CO[C@@H]%14O[C@H]([C@H](O)[C@@H](O)[C@H]%14O)C.[C@@H](O)([C@@H](O)C(=O)O)C(=O)O
InChI 1S/2C44H54N2O19.C4H6O6/c2*1-21-35(50)37(52)39(54)43(62-21)61-19-32-36(51)38(53)40(55)44(65-32)63-24-15-25(47)34-26(48)17-29(64-31(34)16-24)22-6-8-27(56-2)30(14-22)60-20-33(49)46-12-10-45(11-13-46)18-23-7-9-28(57-3)42(59-5)41(23)58-4;5-1(3(7)8)2(6)4(9)10/h2*6-9,14-17,21,32,35-40,43-44,47,50-55H,10-13,18-20H2,1-5H3;1-2,5-6H,(H,7,8)(H,9,10)/t2*21-,32+,35-,36+,37+,38-,39+,40+,43+,44+;1-,2-/m001/s1
InChIKey UDLSEZCIHQODAV-ONKUBEFNSA-N
Properties
Boiling point 1077.6°C at 760 mmHg (Cal.)
Flash point 605.5°C (Cal.)
Market Analysis Reports
Related Products
(2S)-7-[[6-O-(6...  (2S)-7-[[6-O-(6...  7-[[6-O-(6-Deox...  7-[[2-O-(6-Deox...  3-[[6-O-(6-Deox...  3-[[6-O-(6-Deox...  3-((2-O-(6-Deox...  3-[[6-O-(6-Deox...  (3beta,5alpha,1...  5-[[2-O-(6-Deox...  2-[4-[[2-O-(6-D...  3-[4-[[2-O-(6-D...  6-O-(6-Deoxy-al...  4-[(6-Deoxy-alp...  3-((6-Deoxy-alp...  3-[(6-Deoxy-L-M...  3-[(6-Deoxy-alp...  3-[(6-Deoxy-alp...  3-[(6-Deoxy-alp...  3beta-[(6-Deoxy...