Online Database of Chemicals from Around the World

Bastadin 9
[CAS 127687-07-4]

Suppliers
CAS#: 127687-07-4
Product: Bastadin 9
No suppilers available for the product.
Identification
Name Bastadin 9
Synonyms Bastadin 9
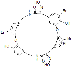
Molecular Structure CAS#: 127687-07-4, Bastadin 9
Molecular Formula C34H28Br4N4O8
Molecular Weight 940.23
CAS Registry Number 127687-07-4
SMILES O=C3NCCC5=CC=C(OC1=C(O)C=CC(=C1)CCNC(=O)C(=N/O)\CC4=CC(=C(OC2=CC(=CC(=C2O)Br)C/C3=N/O)C(=C4)Br)Br)C(=C5)Br
InChI 1S/C34H28Br4N4O8/c35-21-9-17-2-4-28(21)49-29-15-18(1-3-27(29)43)6-8-40-33(45)25(41-47)13-19-11-23(37)32(24(38)12-19)50-30-16-20(10-22(36)31(30)44)14-26(42-48)34(46)39-7-5-17/h1-4,9-12,15-16,43-44,47-48H,5-8,13-14H2,(H,39,46)(H,40,45)/b41-25-,42-26-
InChIKey IHQGNSPVGIMQBJ-ZHEAWEGVSA-N
Properties
Density 1.875g/cm3 (Cal.)
Market Analysis Reports
Related Products
Basimglurant;2-...  Basketane  Basmisanil;(1,1...  Bassianolide;3,...  Bassic Acid;(4A...  Bastadin 10  Bastadin-12;Bas...  Bastadin 14;(12...  Bastadin 5;5,16...  Bastadin 8;Bast...  Batabulin sodiu...  Batatasin IV;3-...  Batefenterol;Bi...  Batefenterol su...  Batelapine;2-Me...  Bathocuproin;2,...  Bathocuproinedi...  Bathophenanthro...  Bathophenanthro...  Bathophenanthro...